Last update :
27/04/2026
Antibiotic   Netilmicin sulfate   
aerosol
injection
Stability of pharmaceutical preparations Stability of mixtures Factors which affect stability Compatibility References pdf
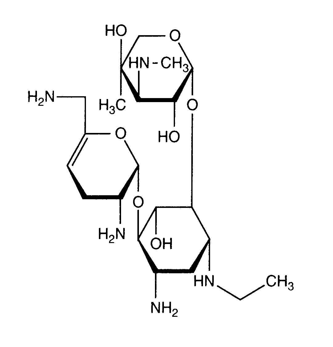
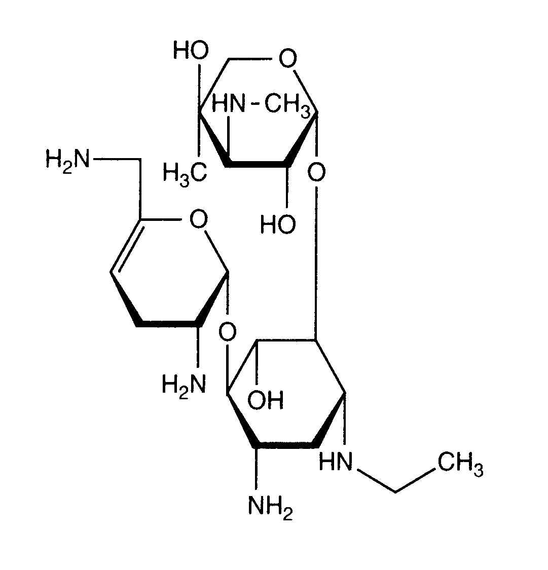
   Chemical structure  

aerosol
Stability of mixtures   aerosol   Stability of mixtures : Netilmicin sulfate      
Container excipient Compound Temperature Storage Duration of stability References
Not specified
None
aerosol   Netilmicin sulfate Medicine bottle for injection1000 mg   Netromicine®
aerosol   Betamethasone sodium phosphate Medicine bottle for injection8 mg = 2  Celestene®
aerosol   N-acetylcysteine Medicine bottle for injection100 mg =  Mucomyst®
23-27°C
1 Hour
Light 2648

  Mentions Légales