Ultimele actualizari :
27/04/2026
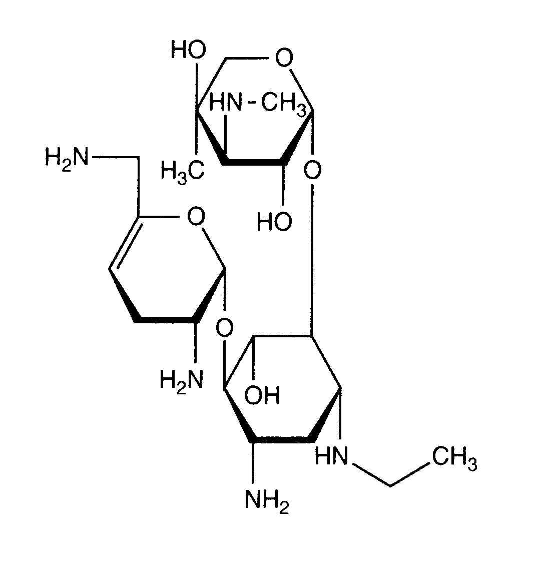
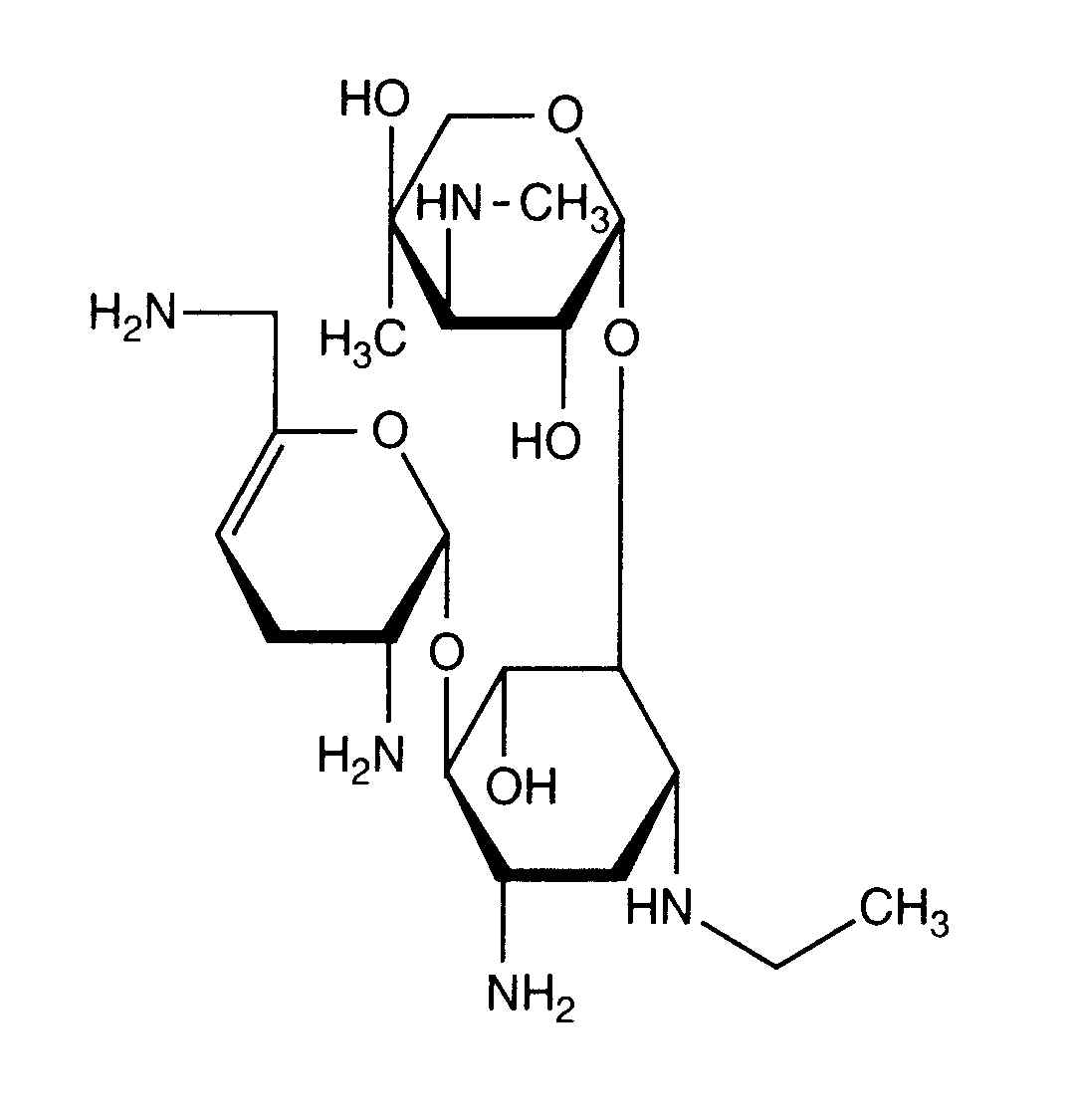
Antibiotic   Netilmicin sulfate   
Aerosol
Injectabil
Stabilitatea preparatelor farmaceutice Stabilitatea in amestec Factorii care influenteaza stabilitatea Compatibilitate Bibliografie pdf
   Formula chimica  

Aerosol
Stabilitatea in amestec   Aerosol   Stabilitatea in amestec : Netilmicin sulfate      
Continut Excipient Molecula (substanta activa) Temperatura Conservare Durata stabilității Bibiografie
neprecizat
fara
Aerosol   Netilmicin sulfate Flacon Flacon pentru medicament injectabil pentru injecţie1000 mg   Netromicine®
Aerosol   Betamethasone sodium phosphate Flacon Flacon pentru medicament injectabil pentru injecţie8 mg = 2  Celestene®
Aerosol   N-acetylcysteine Flacon Flacon pentru medicament injectabil pentru injecţie100 mg =  Mucomyst®
23-27°C
1 Ora
Lumina 2648

  Mentions Légales