Siste oppdatering :
27/04/2026
Antibiotika   Netilmicin sulfate   
Aerosol
Injeksjon
Stabilitet av farmasøytiske preparater Stabilitet i blandinger Faktorer som påvirker stabiliteten Kompatibilitet Referanser pdf
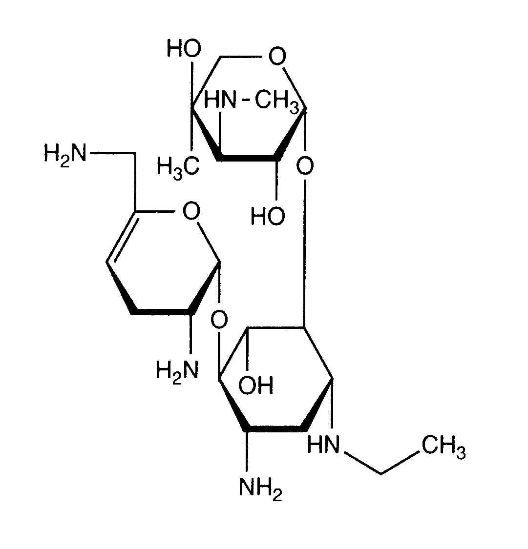
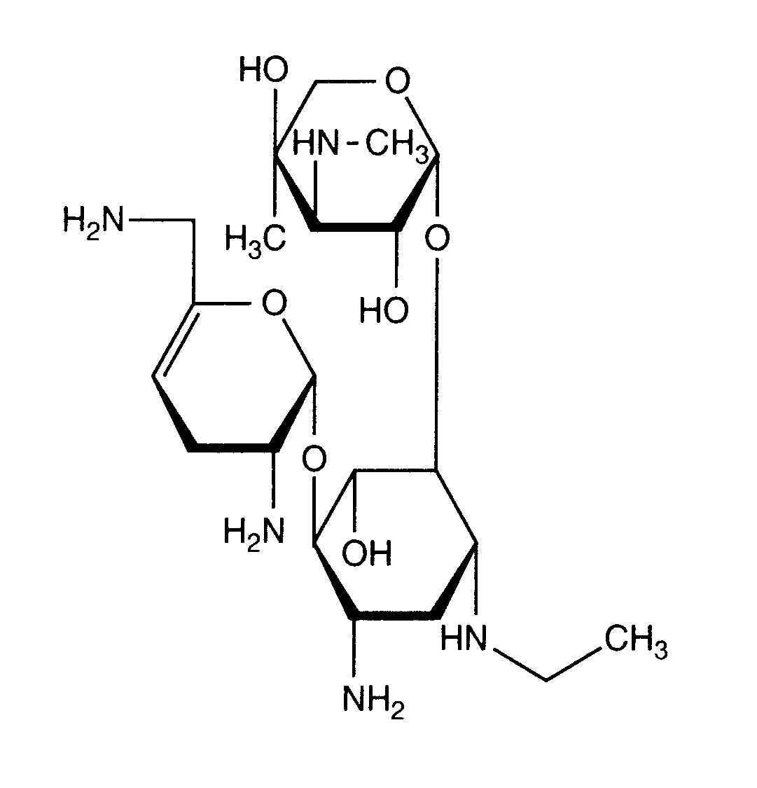
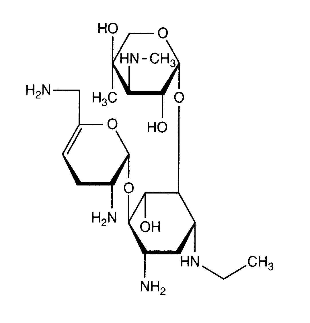
   Kjemisk struktur  

Aerosol
Stabilitet i blandinger   Aerosol   Stabilitet i blandinger : Netilmicin sulfate      
Beholder Hjelpestoff Legemiddel Temperatur Oppbevaring Varighet av stabilitet Referanser
Ikke angitt
Ingen
Aerosol   Netilmicin sulfate Hetteglass1000 mg   Netromicine®
Aerosol   Betamethasone sodium phosphate Hetteglass8 mg = 2  Celestene®
Aerosol   N-acetylcysteine Hetteglass100 mg =  Mucomyst®
23-27°C
1 Tid
Lys 2648

  Mentions Légales