Son güncelleme :
27/04/2026
Antifungal   Amphotericin B  
Gargara
Aerosol Enjeksiyon Göz damlası Oral solüsyon / oral çözelti
Farmasötik preparatlar Kararlılığı Karışımlardaki stabilitesi Stabiliteyi etkileyen faktörler Uyumluluk Kaynaklar pdf
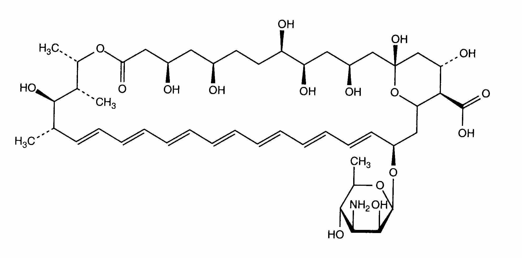
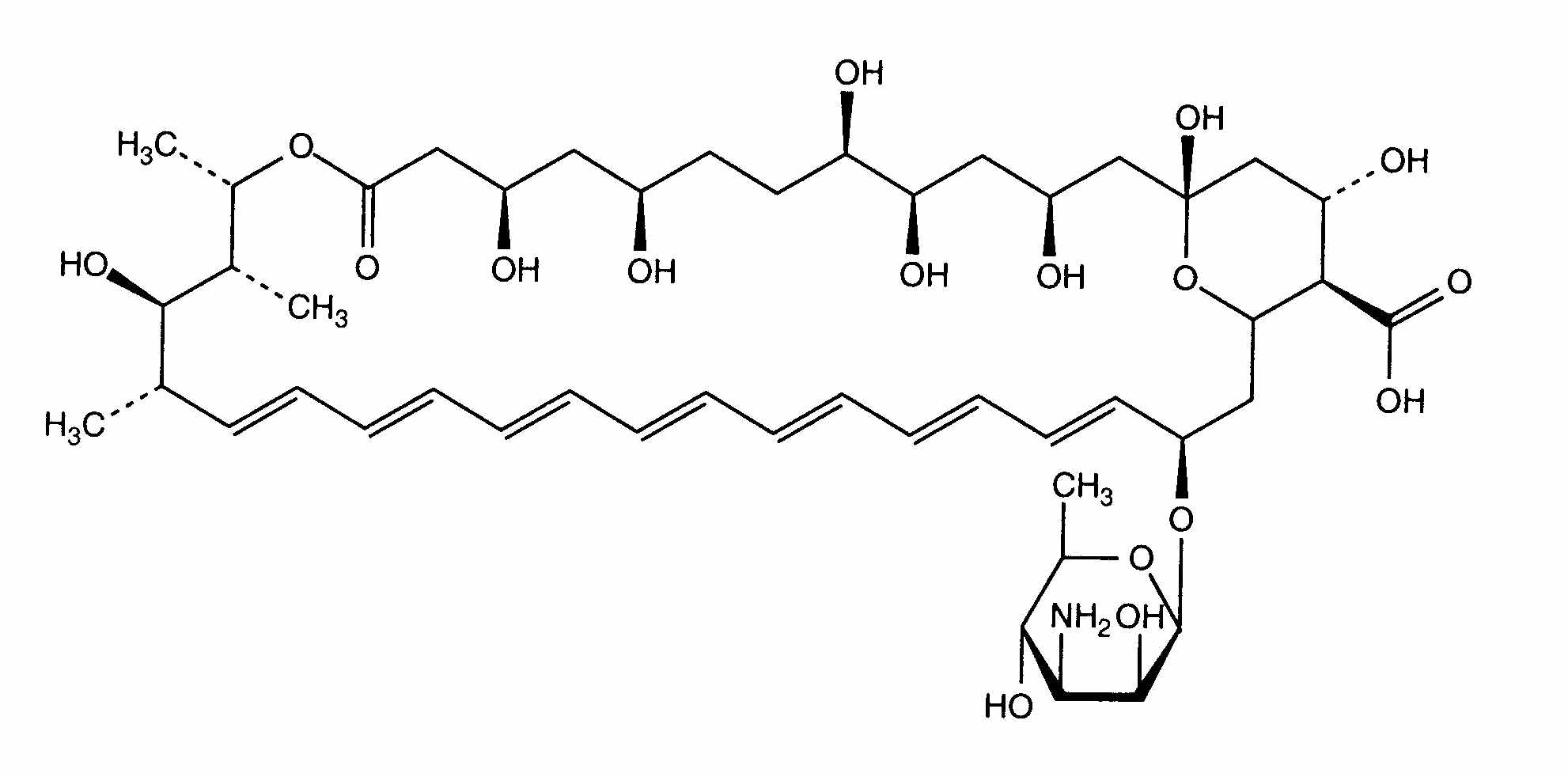
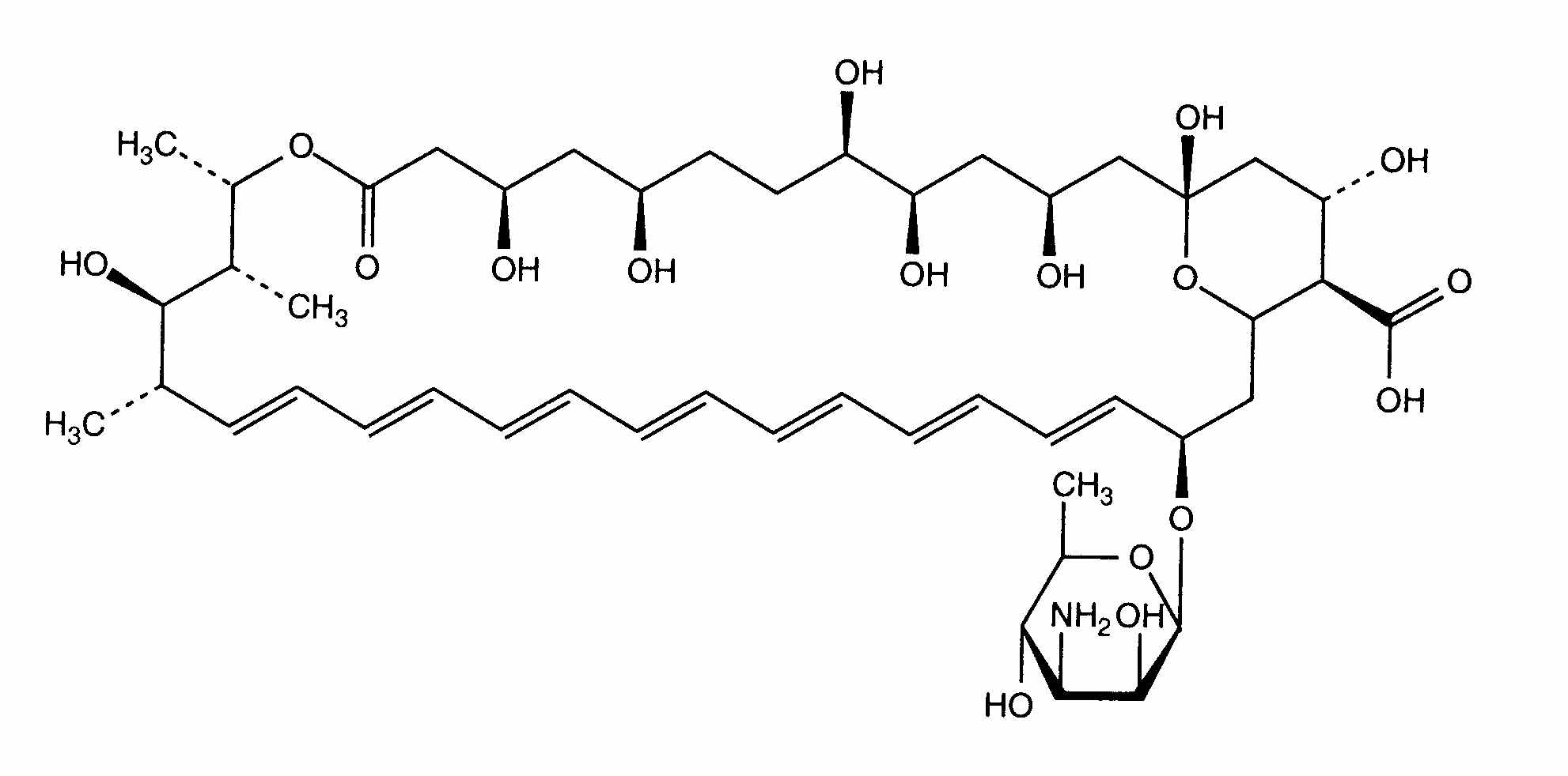
   Kimyasal yapı   

Gargara

Stabiliteyi etkileyen faktörler    Gargara   Stabiliteyi etkileyen faktörler : Amphotericin B        
veri yok

  Mentions Légales