Последно актуализиране :
27/04/2026
Противогъбично средство   Amphotericin B  
Разтвор за уста
Аерозол Инжекция/Инжекционен Капки за очи Орален разтвор
Стабилност на лекарствени препарати Стабилност на смеси Фактори, повлияващи стабилността Съвместимост Библиография Pdf
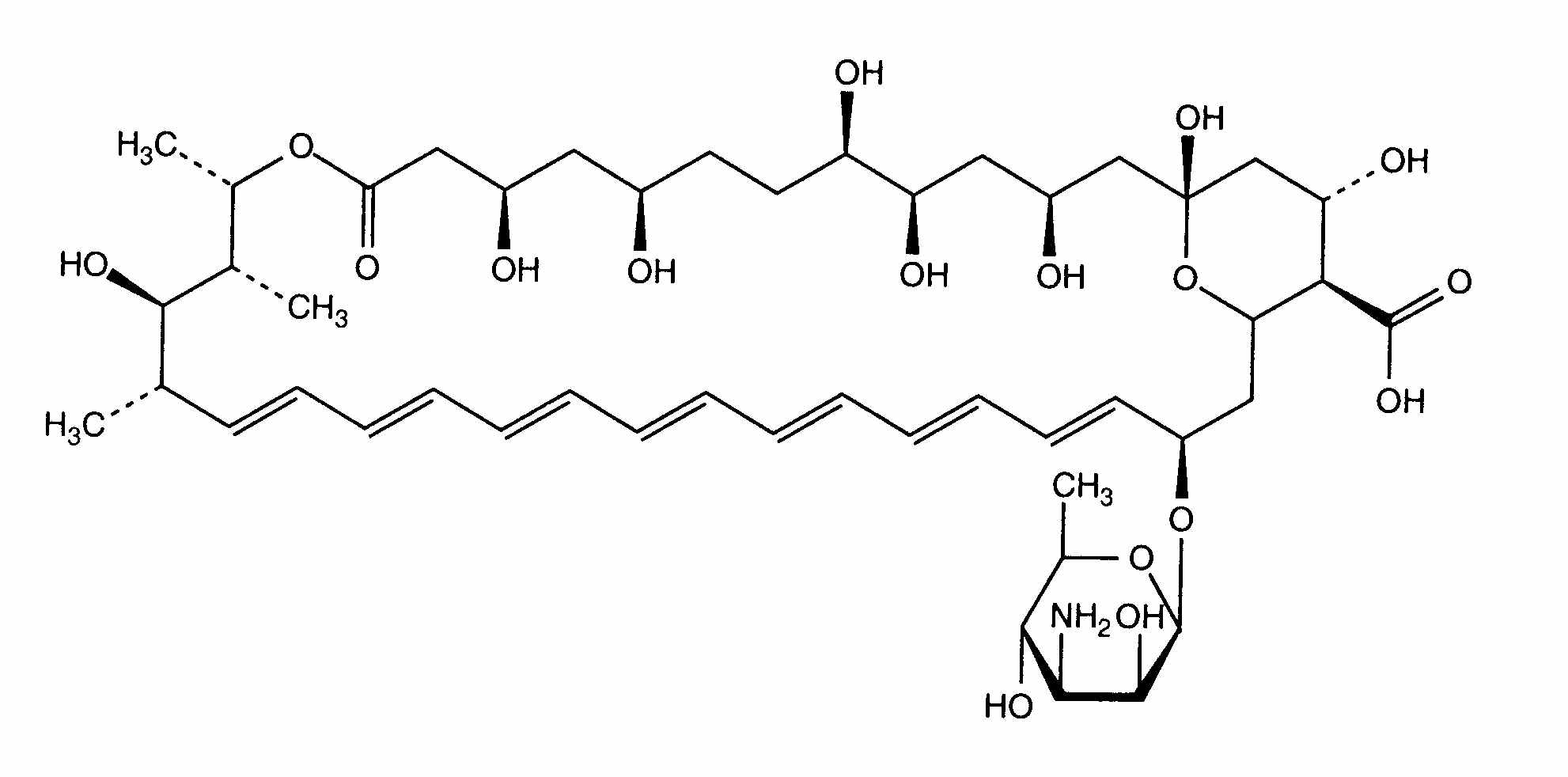
   Химична структура  

Разтвор за уста

Фактори, повлияващи стабилността   Разтвор за уста   Фактори, повлияващи стабилността : Amphotericin B        
Няма данни

  Mentions Légales