Ultimele actualizari :
27/04/2026
Antifungic   Amphotericin B  
Gargara
Aerosol colir Injectabil Soluţie orală
Stabilitatea preparatelor farmaceutice Stabilitatea in amestec Factorii care influenteaza stabilitatea Compatibilitate Bibliografie pdf
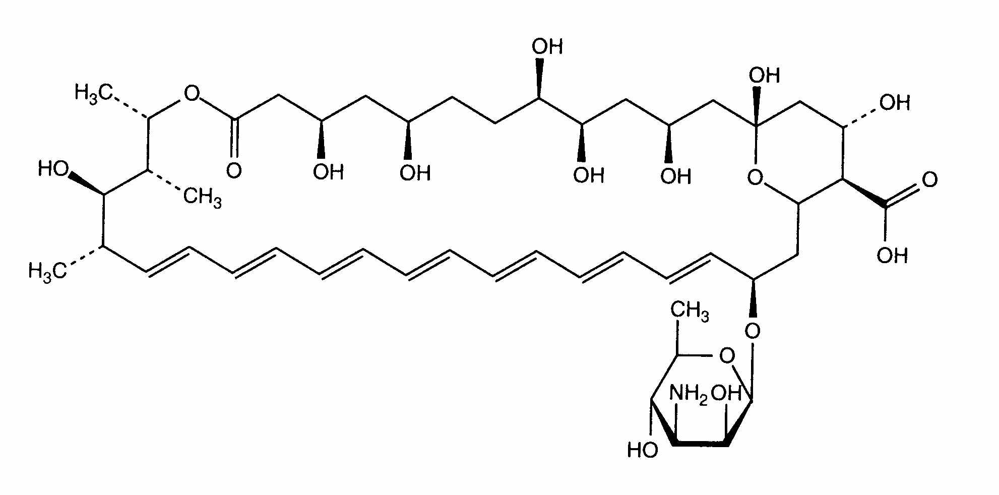
   Formula chimica  

Gargara

Factorii care influenteaza stabilitatea   Gargara   Factorii care influenteaza stabilitatea : Amphotericin B        
Absenta de date

  Mentions Légales