Utolsó frissítés :
27/04/2026
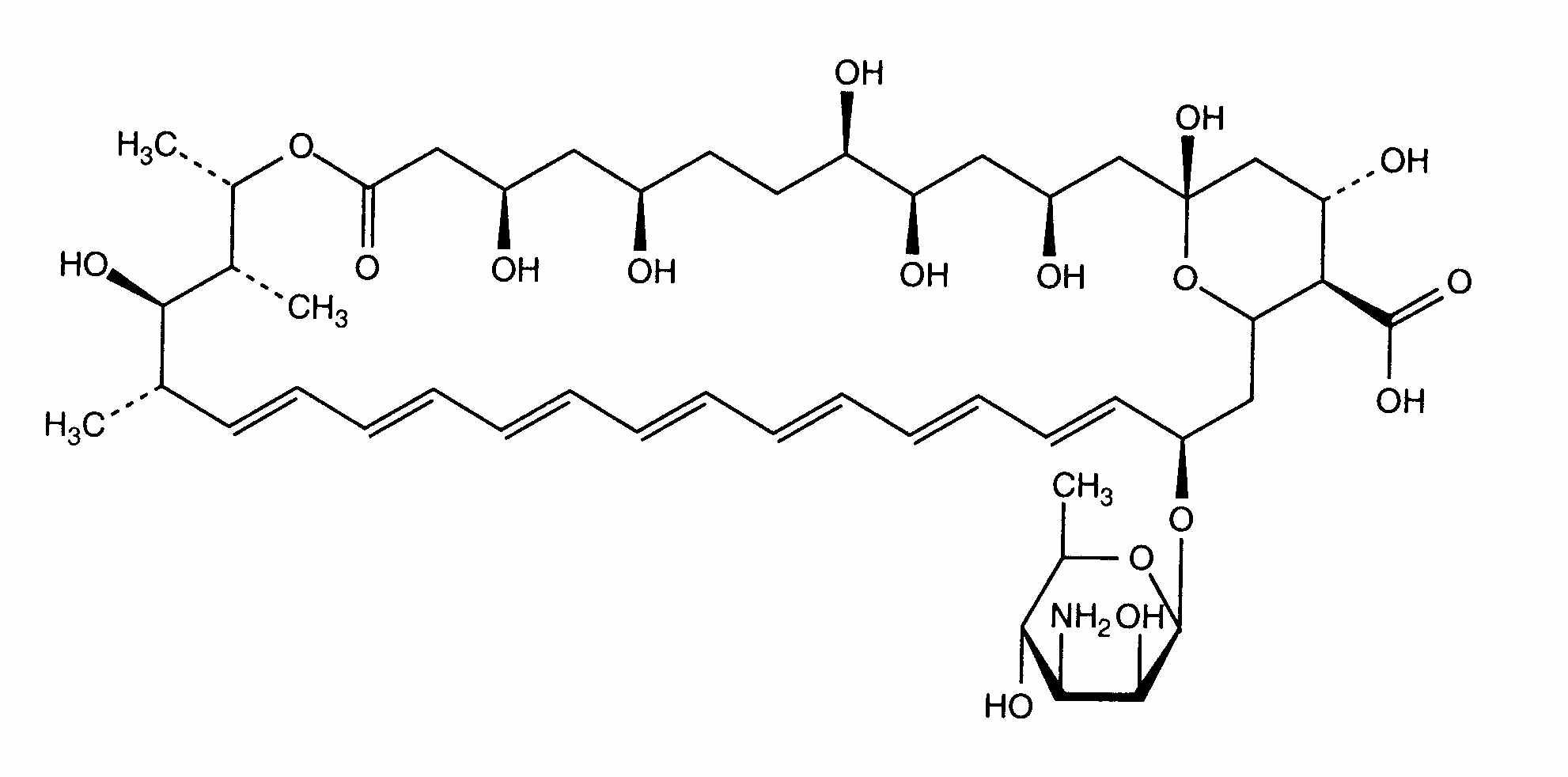
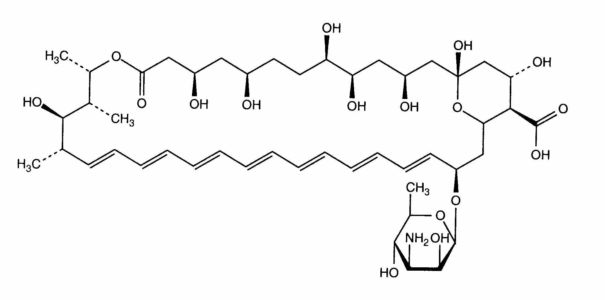
Gombaellenes szer   Amphotericin B  
Szájvíz
aeroszol belsőleges oldat Injekció Szemcsepp
Stabilitása gyógyszerészeti készítmények A keverékek stabilitása Stabilitást befolyásoló tényezők Kompatibilitás Irodalom pdf
   Kémiai szerkezet   

Szájvíz

Stabilitást befolyásoló tényezők   Szájvíz   Stabilitást befolyásoló tényezők : Amphotericin B        
Hiányzó adat

  Mentions Légales