zadnja posodobitev :
27/04/2026
Antimikotik   Amphotericin B  
Ustna voda
Aerosol Brizgalka Kapljice za oči Peroralna raztopina
Stabilnost farmacevtskih preparatov Stabilnost mešanice Faktorji, ki vplivajo na stabilnost Kompatibilnost Viri pdf
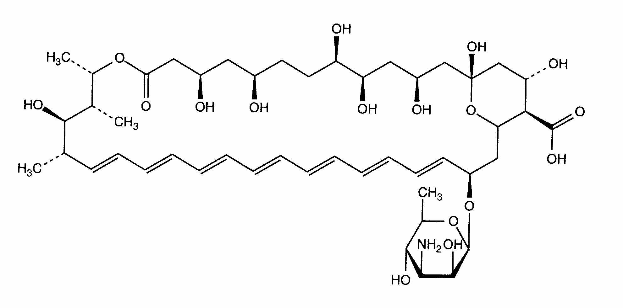
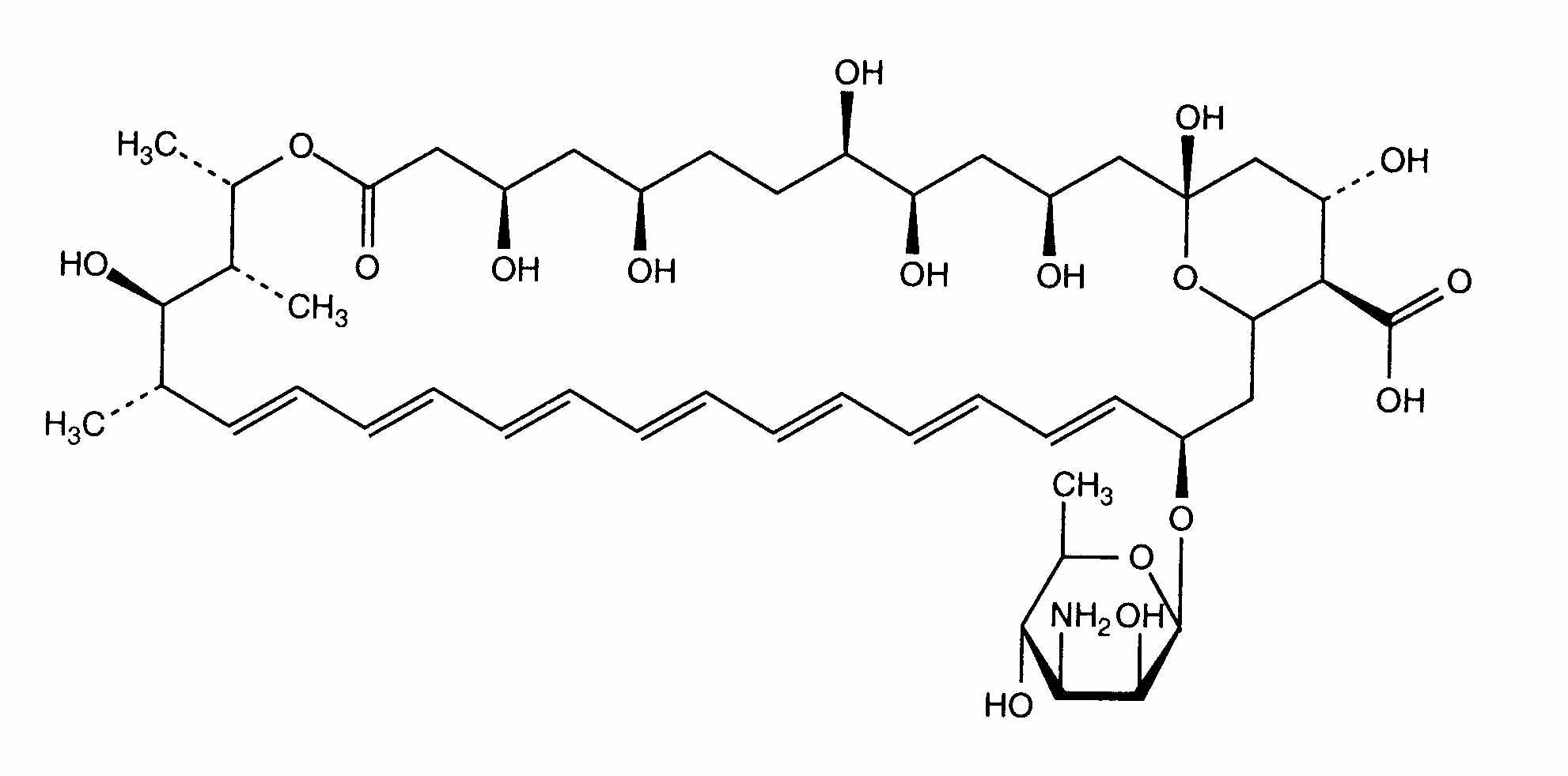
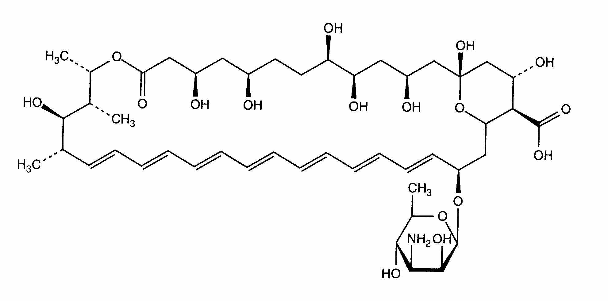
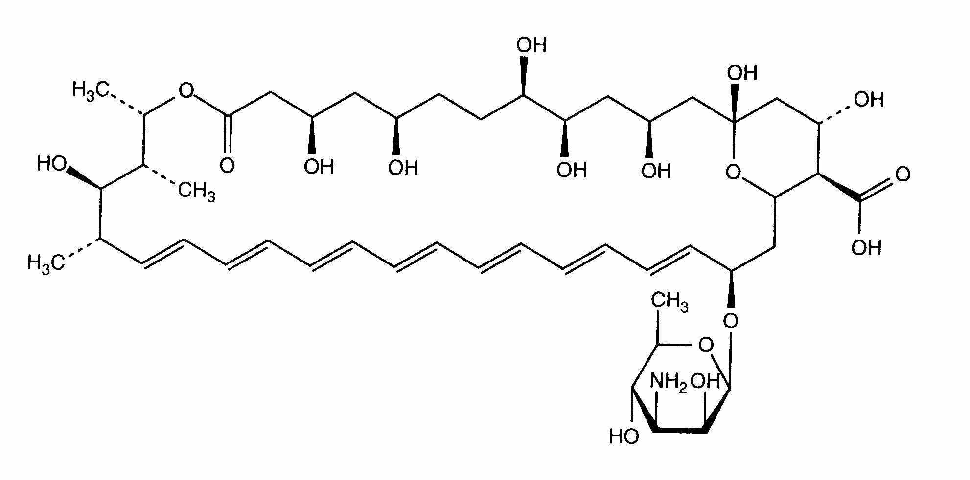
   Kemična formula  

Ustna voda

Faktorji, ki vplivajo na stabilnost   Ustna voda   Faktorji, ki vplivajo na stabilnost : Amphotericin B        
ni podatka

  Mentions Légales