Siste oppdatering :
27/04/2026
Fungicid   Amphotericin B  
Munnvann
Aerosol Injeksjon Mikstur Øyedråper
Stabilitet av farmasøytiske preparater Stabilitet i blandinger Faktorer som påvirker stabiliteten Kompatibilitet Referanser pdf
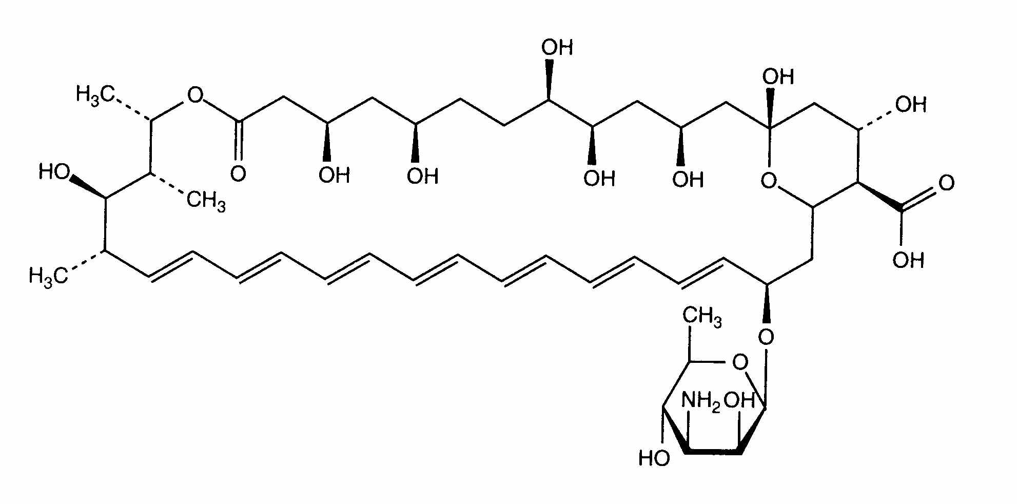
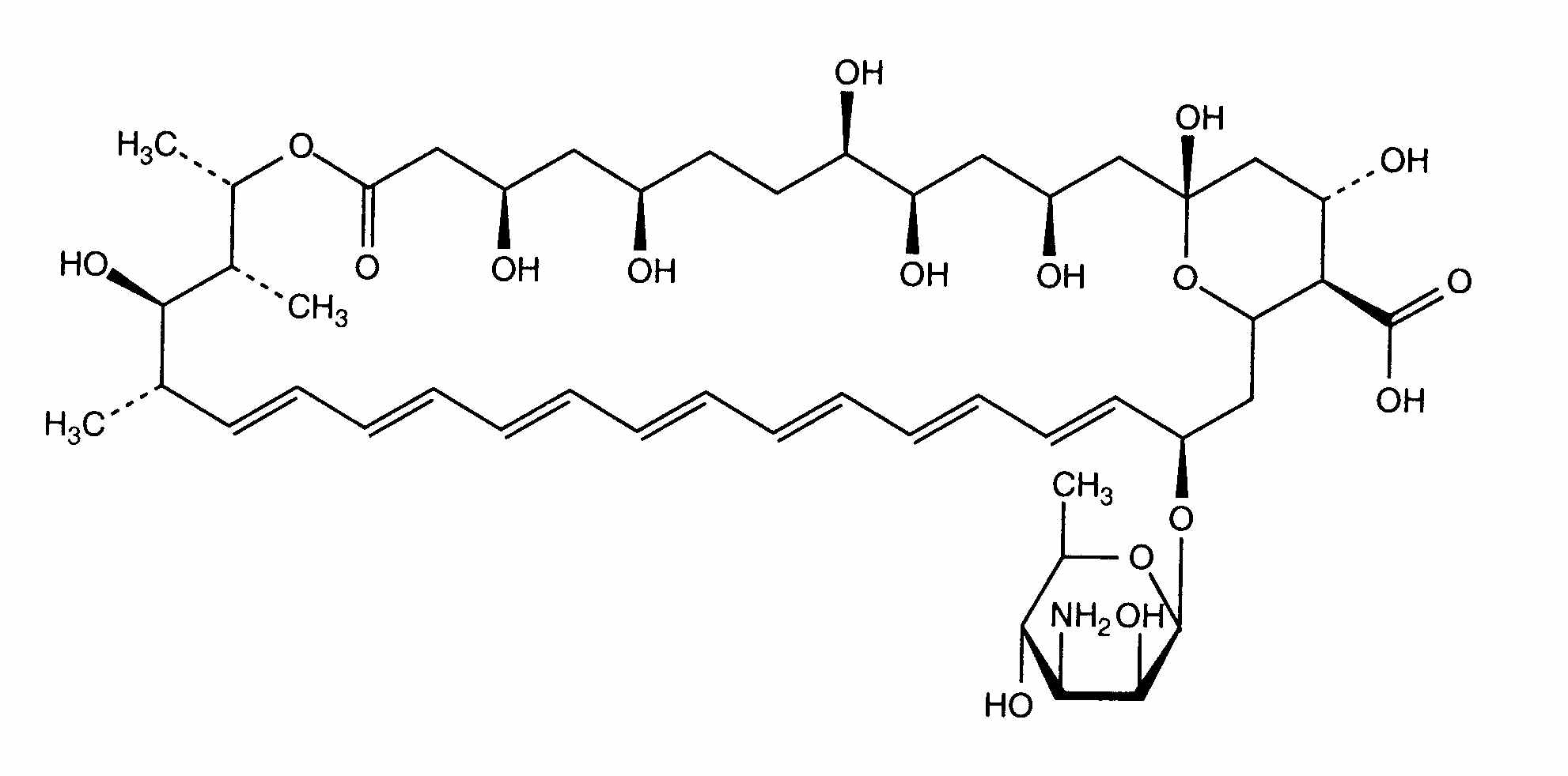
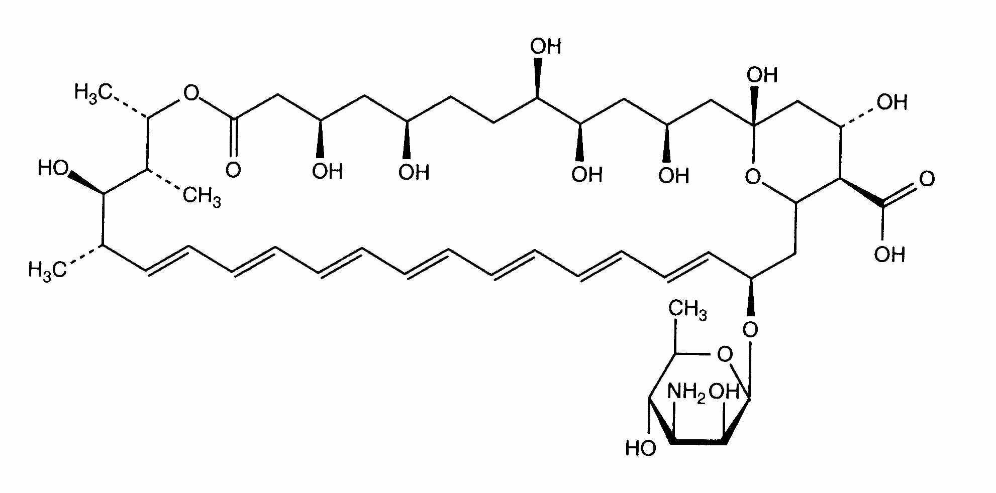
   Kjemisk struktur  

Munnvann

Faktorer som påvirker stabiliteten   Munnvann   Faktorer som påvirker stabiliteten : Amphotericin B        
Ingen opplysninger

  Mentions Légales