آخر تحديث :
27/04/2026
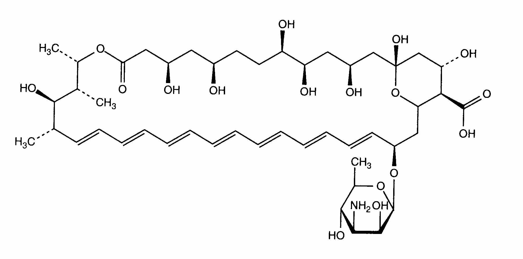
مضاد للفطريات   Amphotericin B  
غسول الفم
الأيروصولات حقن عن طريق الفم  قطرات العين
استقرار المستحضرات الصيدلانية استقرار مخاليط العوامل التي تؤثر على الاستقرار التوافق مراجع pdf
   التركيب الكيميائي  

غسول الفم

العوامل التي تؤثر على الاستقرار   غسول الفم   العوامل التي تؤثر على الاستقرار : Amphotericin B        
لا توجد بيانات

  Mentions Légales