Última actualización :
27/04/2026
Antifúngico   Amphotericin B  
Enjuagues bucales
Aerosol Gotas oculares Inyectables Solución Oral
La estabilidad de las preparaciones farmacéuticas Estabilidad en mezcla Factores que influyen sobre la estabilidad Compatibilidades Bibliografía pdf
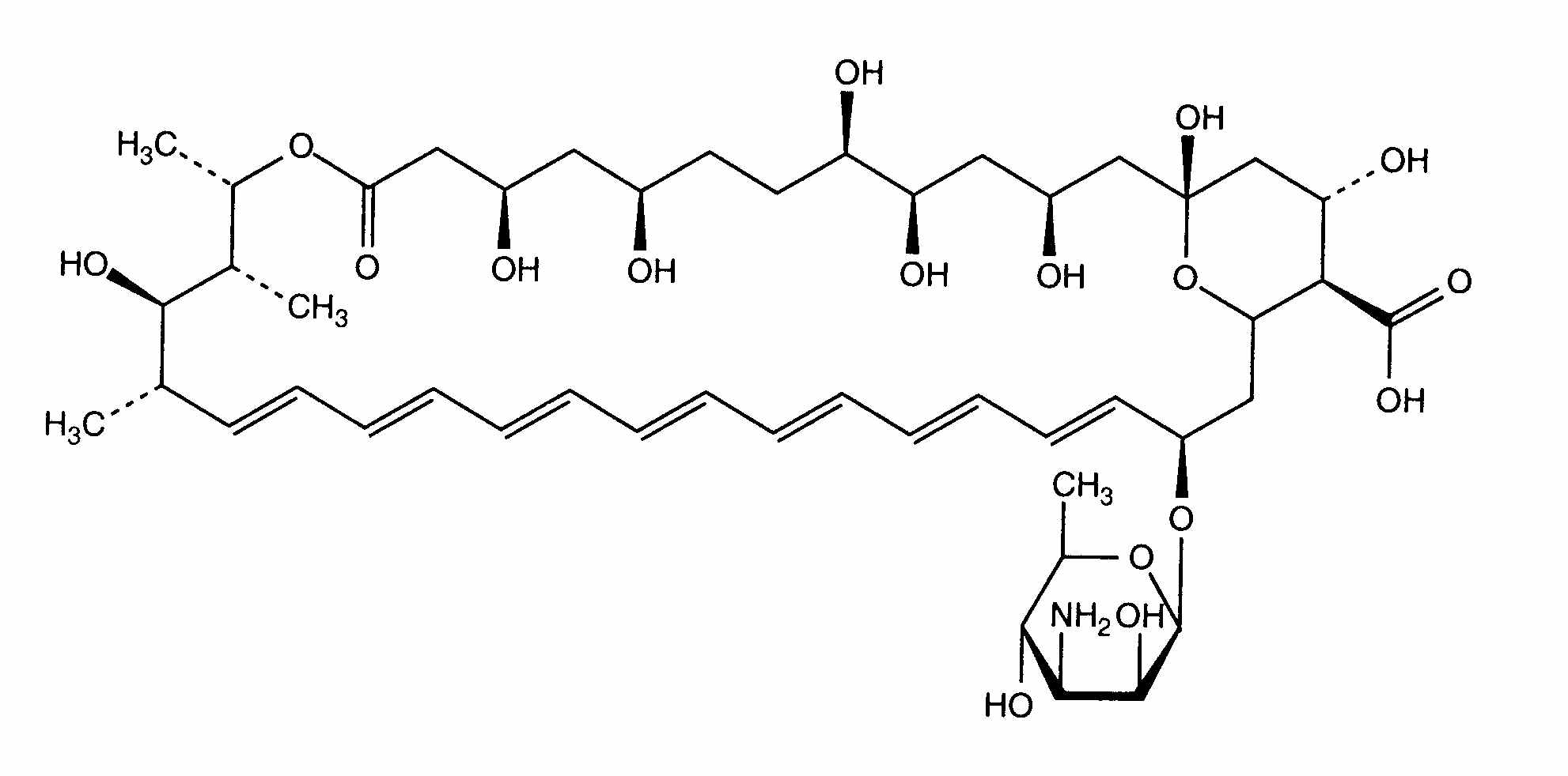
   Estructura química  

Enjuagues bucales

Factores que influyen sobre la estabilidad   Enjuagues bucales   Factores que influyen sobre la estabilidad : Amphotericin B        
Ausencia de datos

  Mentions Légales