Last update :
27/04/2026
Antifungal   Amphotericin B  
Mouthwash
aerosol Eye-drops injection Oral solution
Stability of pharmaceutical preparations Stability of mixtures Factors which affect stability Compatibility References pdf
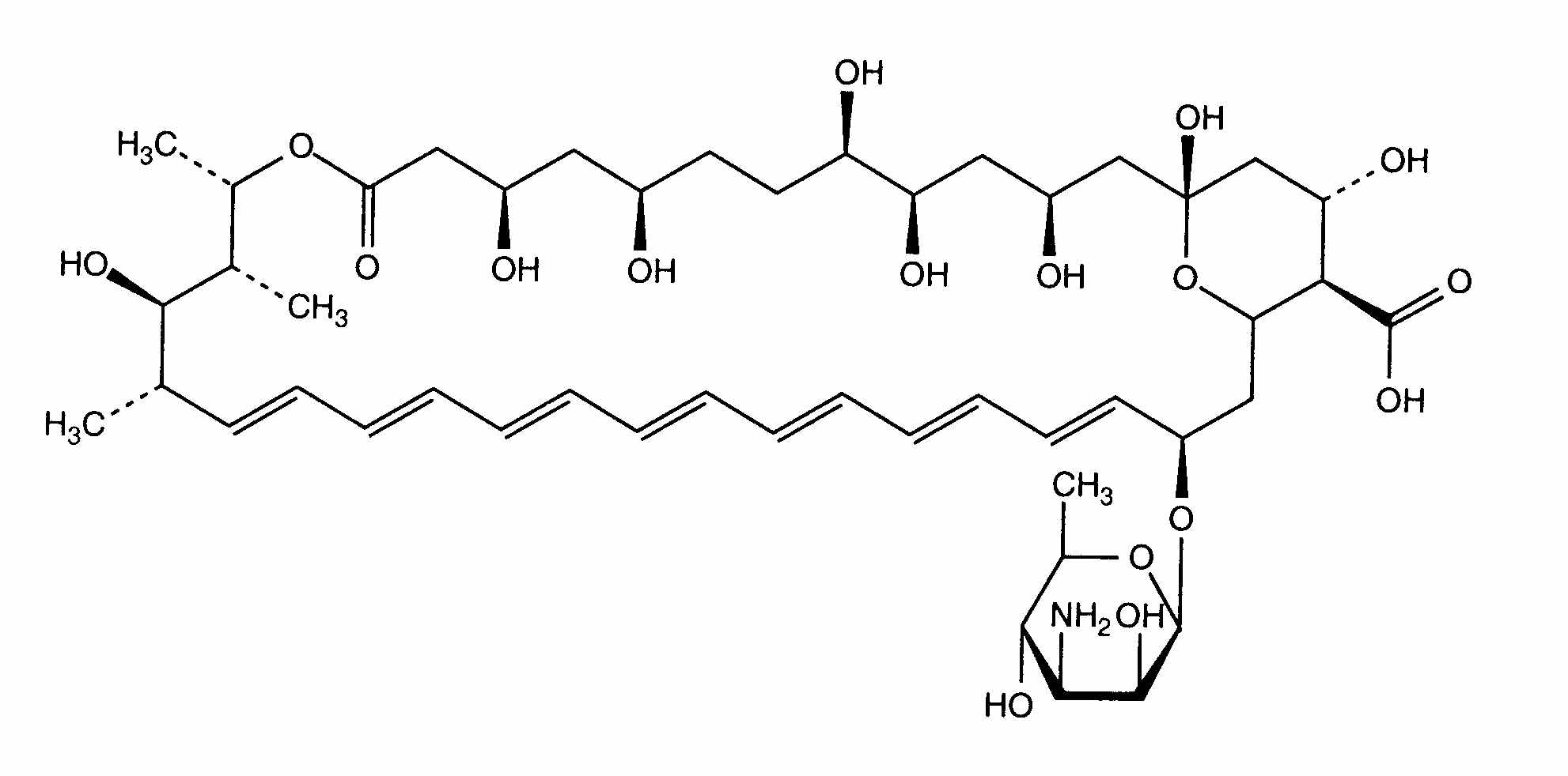
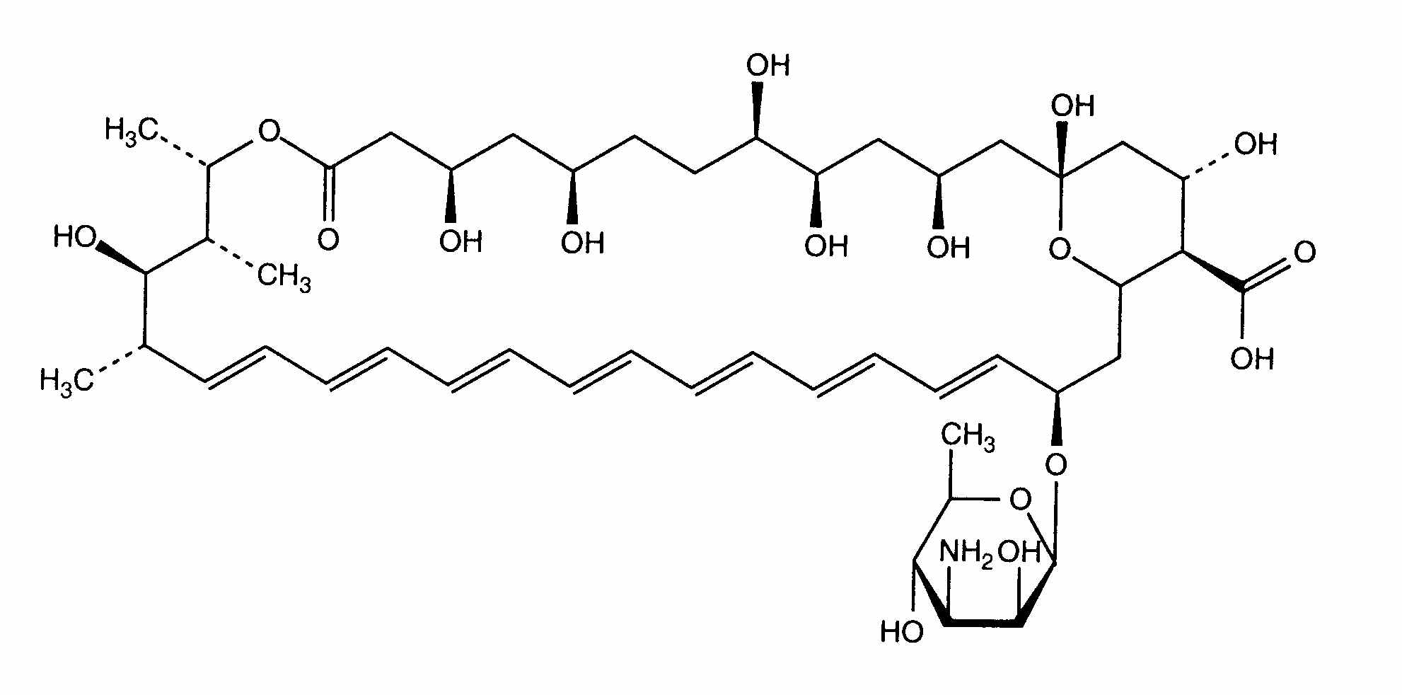
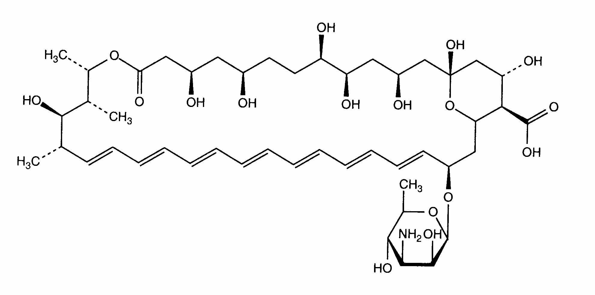
   Chemical structure  

Mouthwash

Factors which affect stability   Mouthwash   Factors which affect stability : Amphotericin B        
No data

  Mentions Légales