Última actualização :
27/04/2026
Antifúngico   Amphotericin B  
colutório
aerossol injetável solução oftálmica Solução Oral
Estabilidade de preparações farmacêuticas Estabilidade em misturas Factores que afectam a sua estabilidade Compatibilidade Bibliografía pdf
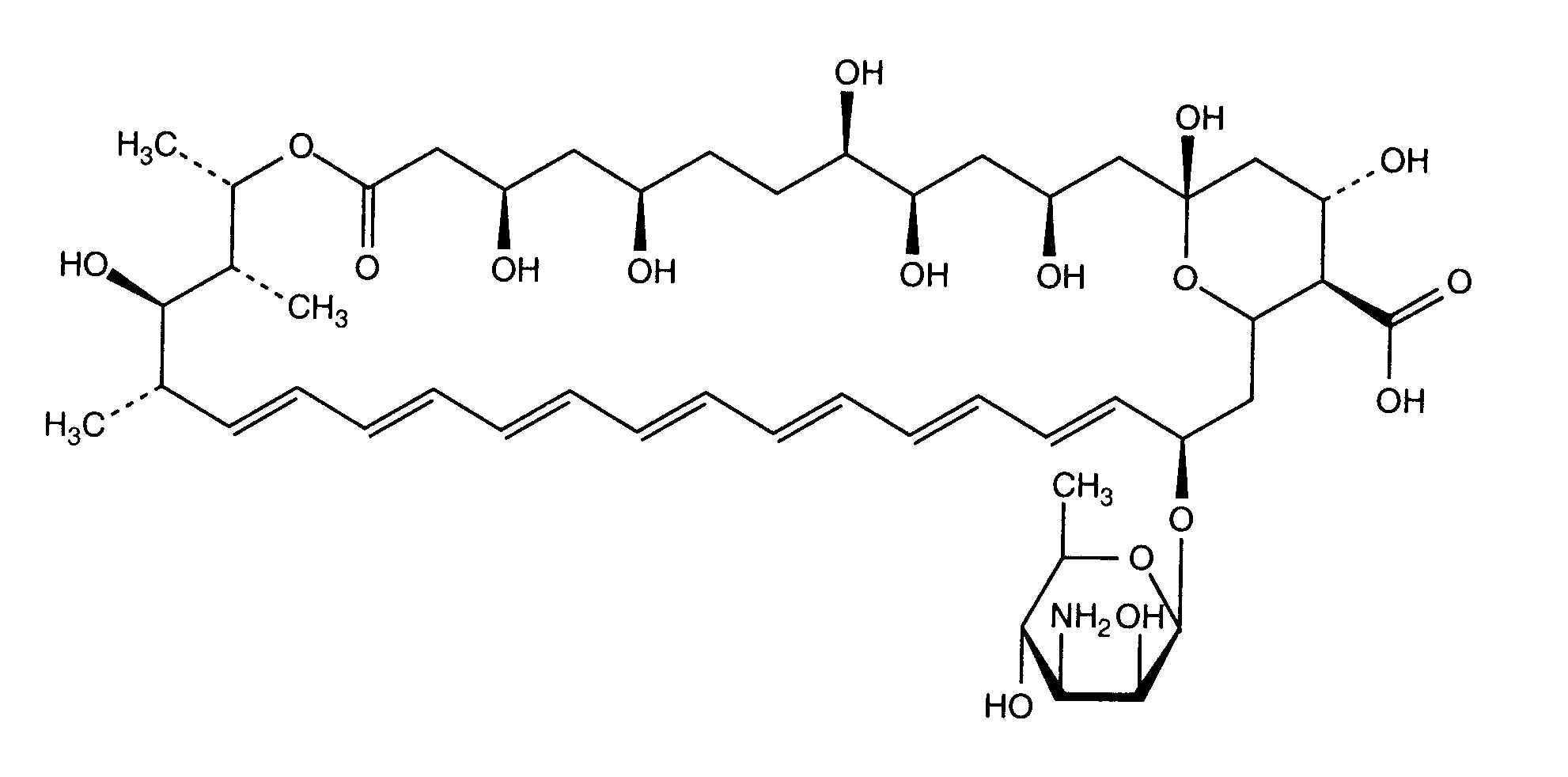
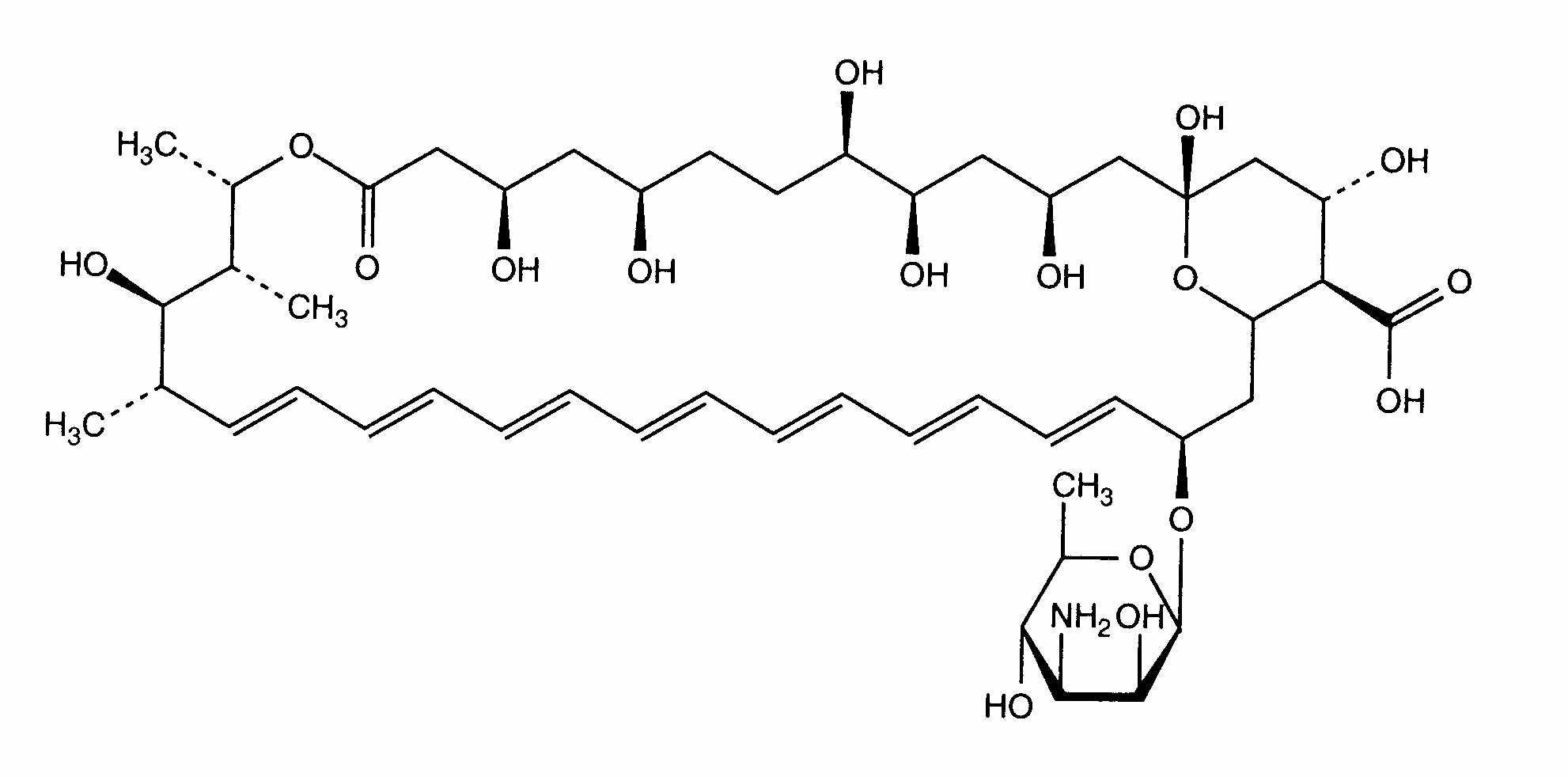
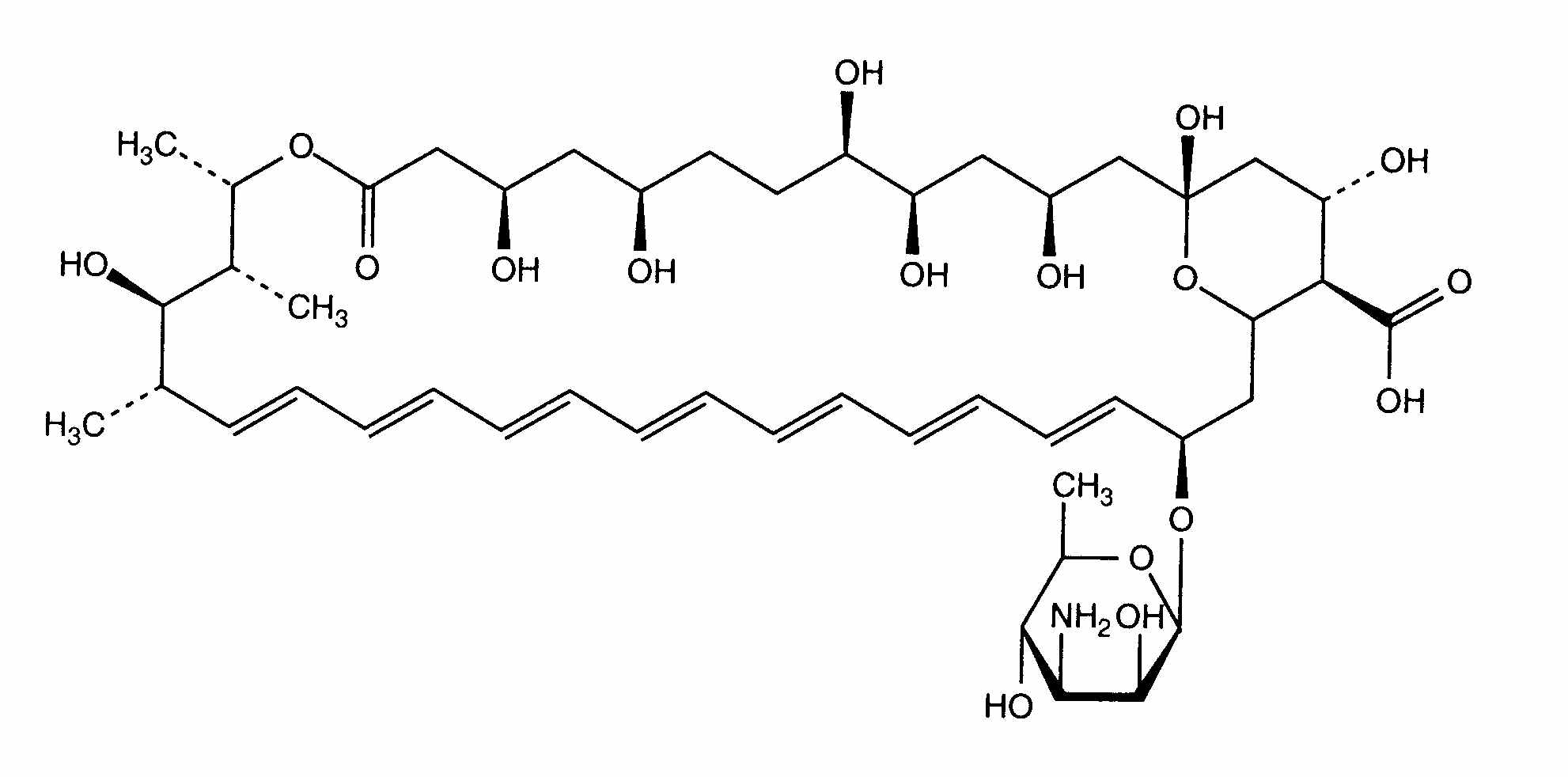
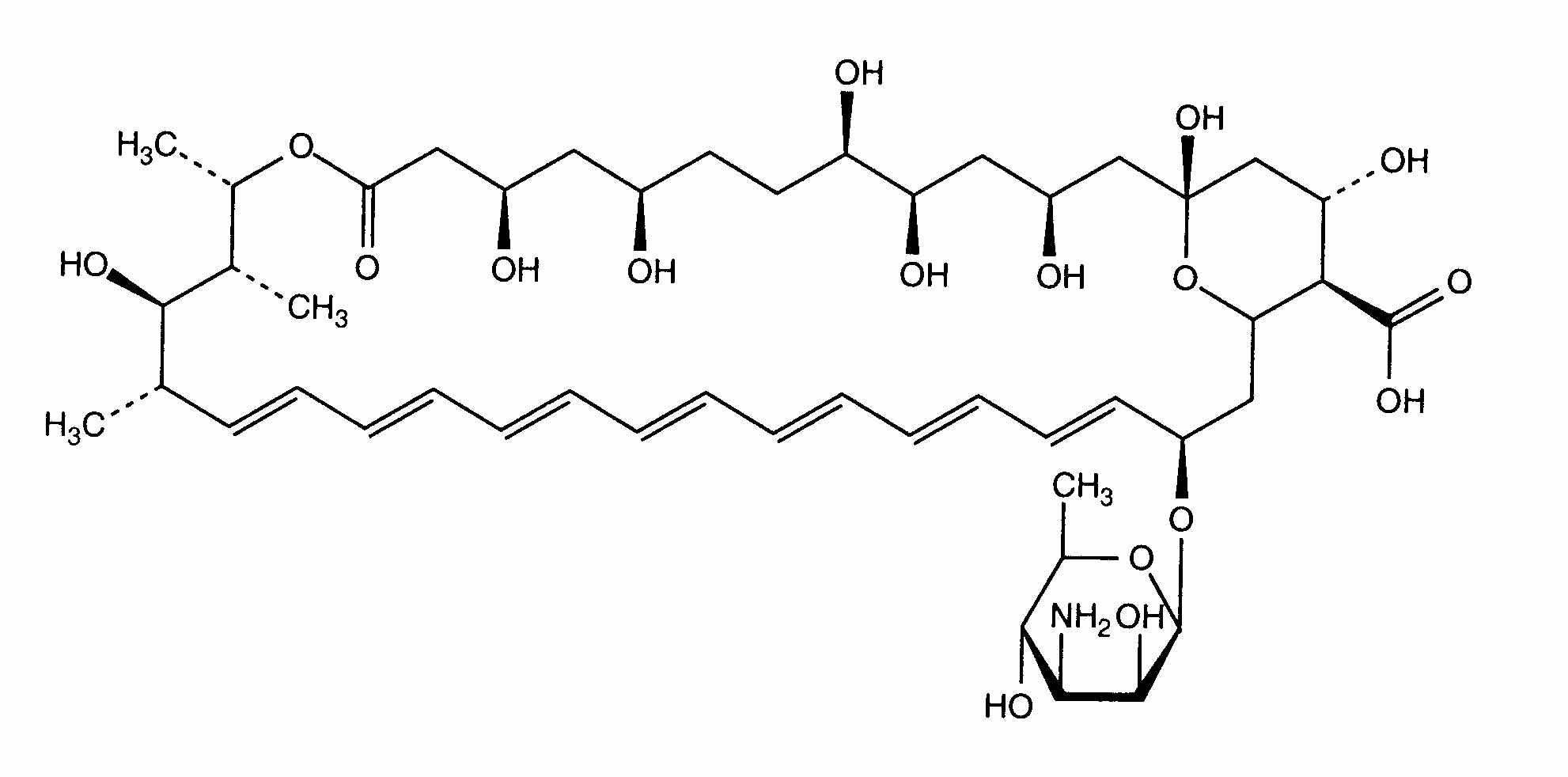
   estrutura química  

colutório

Factores que afectam a sua estabilidade   colutório   Factores que afectam a sua estabilidade : Amphotericin B        
Ausência de dados

  Mentions Légales