Seneste opdatering :
27/04/2026
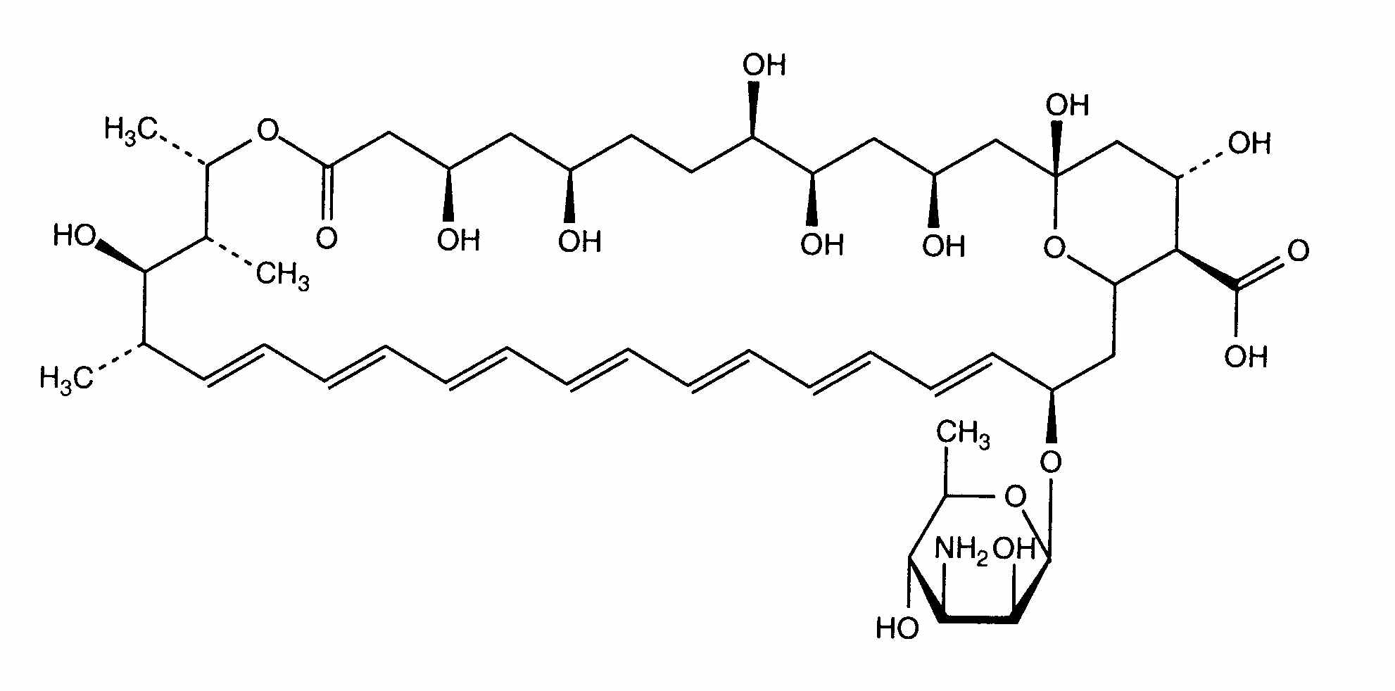
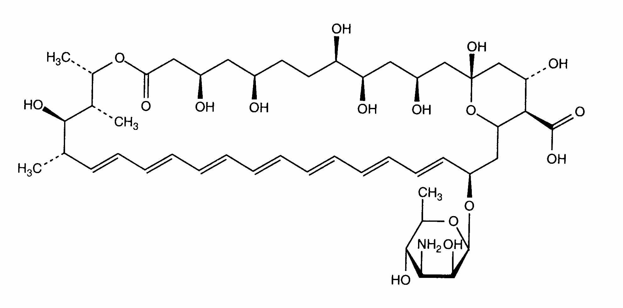
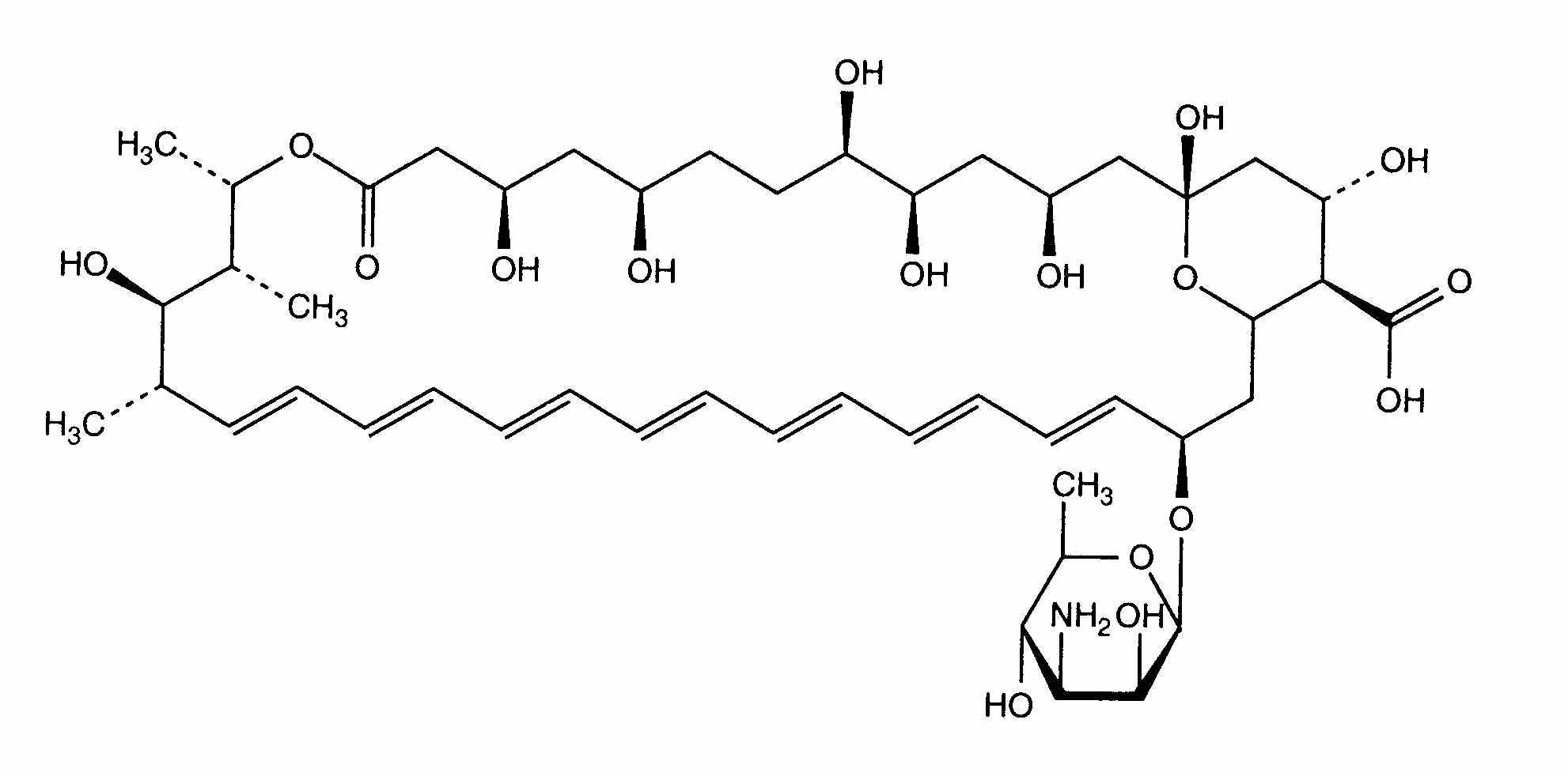
Antisvampe   Amphotericin B  
Mundskyllevæske
Aerosol Injektion Oral opløsning Øjendråber
Stabilitet af farmaceutiske tilberedninger Stabilitet i blandinger Faktorer der påvirker stabiliteten Kompatibilitet Bibliografi pdf
   Kemisk struktur  

Mundskyllevæske

Faktorer der påvirker stabiliteten   Mundskyllevæske   Faktorer der påvirker stabiliteten : Amphotericin B        
Ingen data

  Mentions Légales