Poslední aktualizace :
27/04/2026
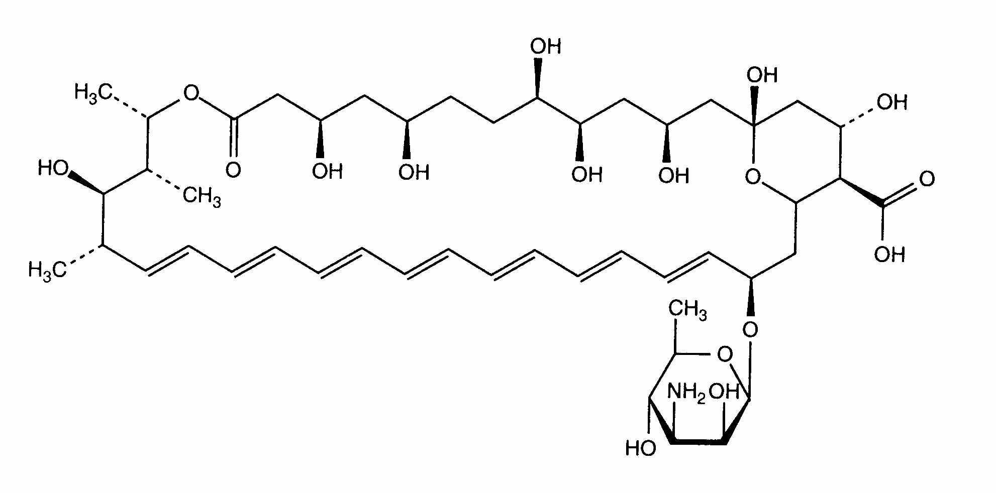
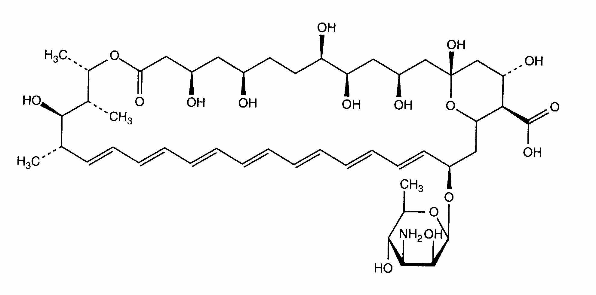
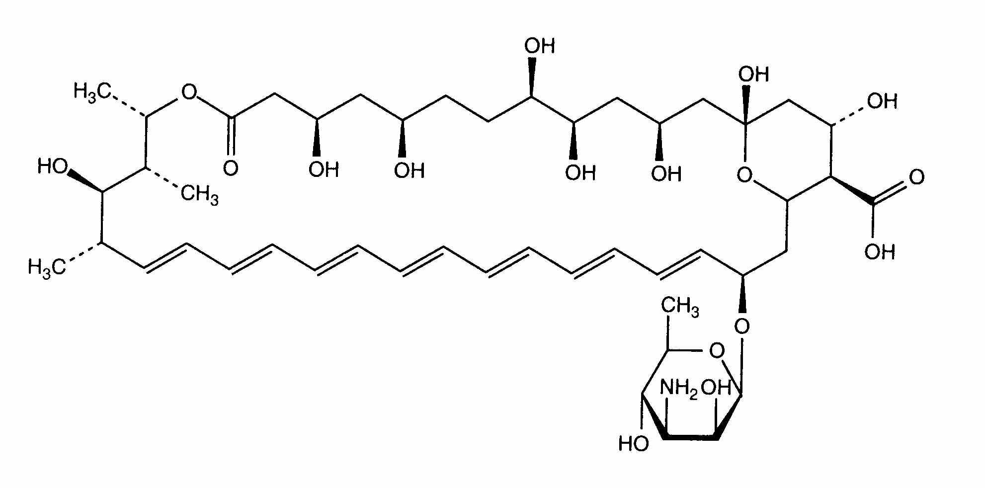
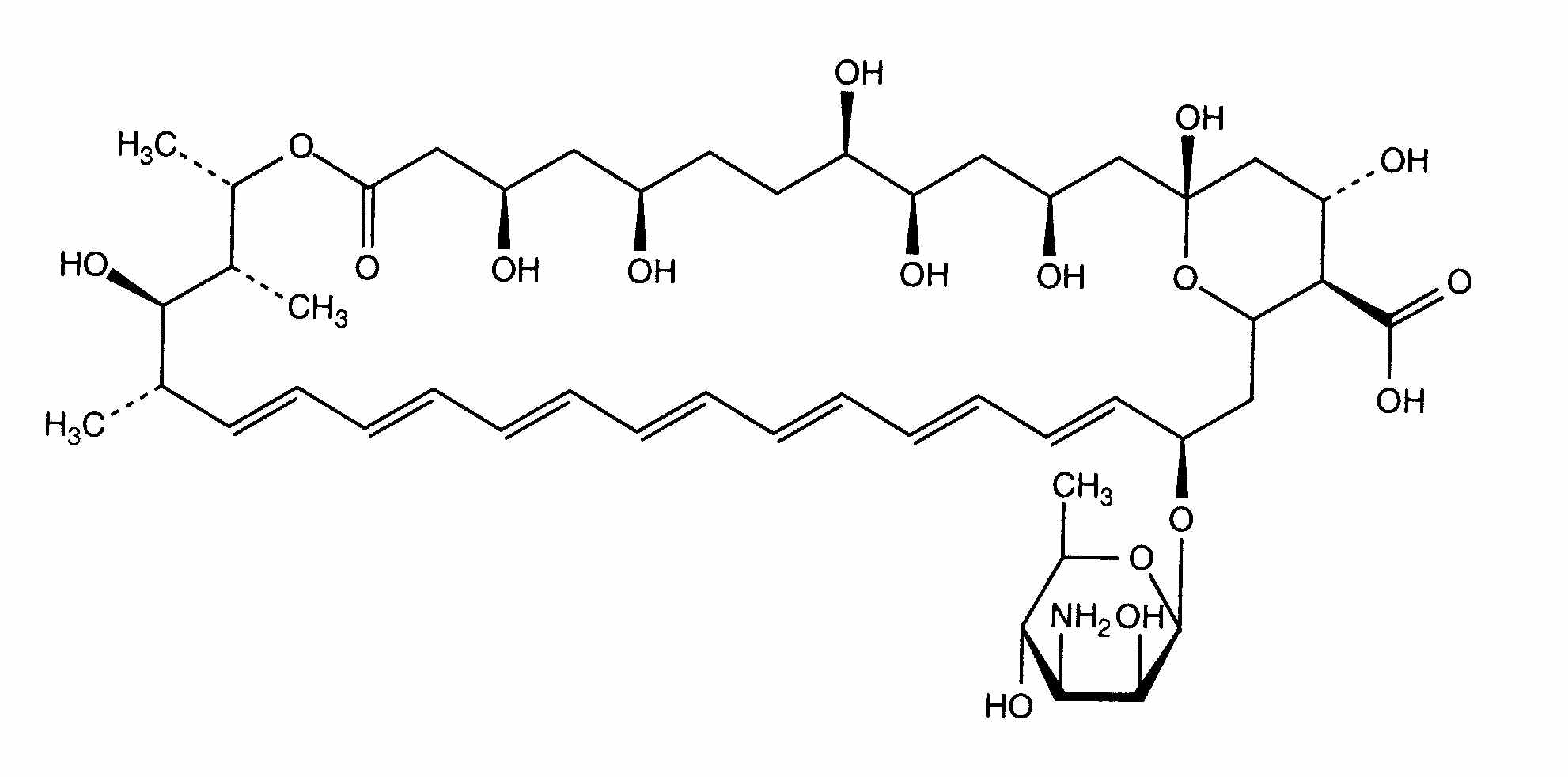
Protiplísňový přípravek   Amphotericin B  
kloktadlo
Aerosol Humbuk injekce Perorální roztok
Stabilita farmaceutických přípravků Stabilita směsí Faktory ovlivňující stabilitu Kompatibilita Odkazy pdf
   Chemický vzorec  

kloktadlo

Faktory ovlivňující stabilitu   kloktadlo   Faktory ovlivňující stabilitu : Amphotericin B        
žádná data

  Mentions Légales