Ostatnia aktualizacja :
27/04/2026
Lek przeciwgrzybiczny   Amphotericin B  
Roztwór do płukania gardła
Aerozol Injekcje Krople oczne Roztwór doustny
Stabilność preparatów farmaceutycznych Trwałość w mieszaninie Czynnik wpływający na trwałość Zgodność Bibliografia pdf
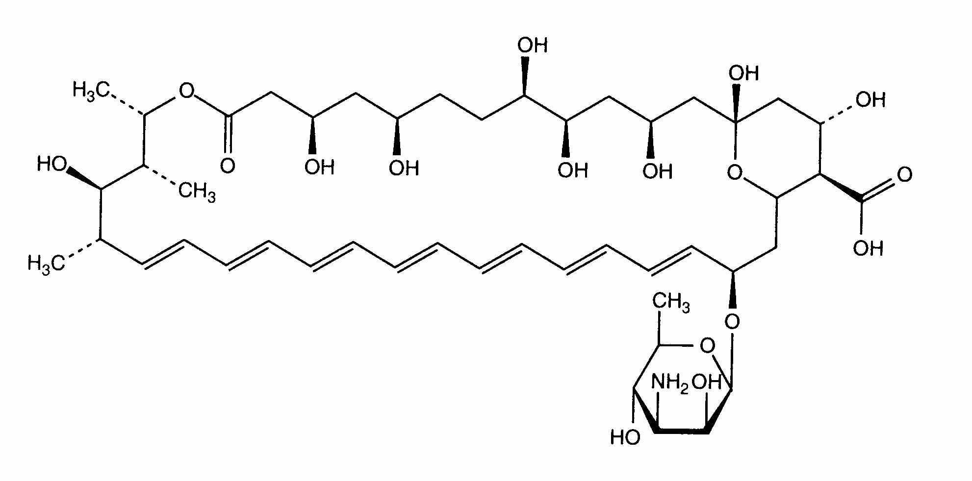
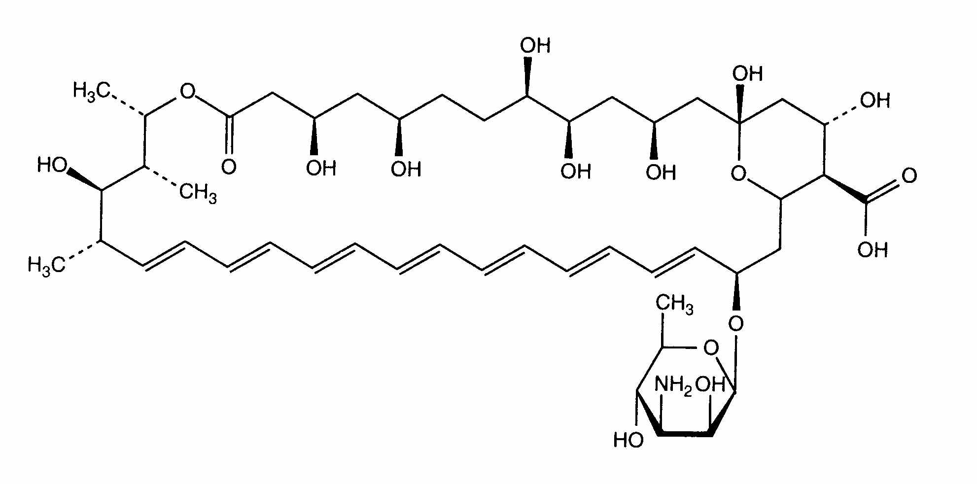
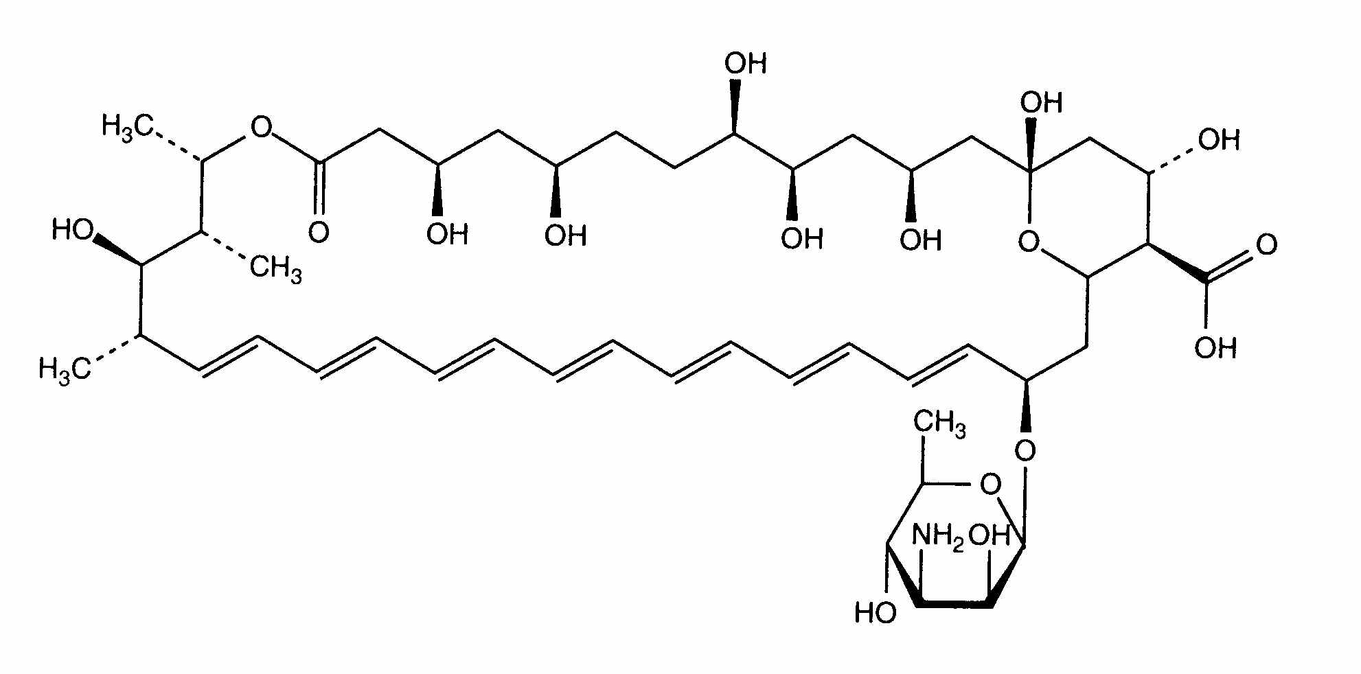
   Struktura chemiczna  

Roztwór do płukania gardła

Czynnik wpływający na trwałość   Roztwór do płukania gardła   Czynnik wpływający na trwałość : Amphotericin B        
Brak danych

  Mentions Légales