Son güncelleme :
27/04/2026
Antifungal   Amphotericin B  
Aerosol
Enjeksiyon Gargara Göz damlası Oral solüsyon / oral çözelti
Farmasötik preparatlar Kararlılığı Karışımlardaki stabilitesi Stabiliteyi etkileyen faktörler Uyumluluk Kaynaklar pdf
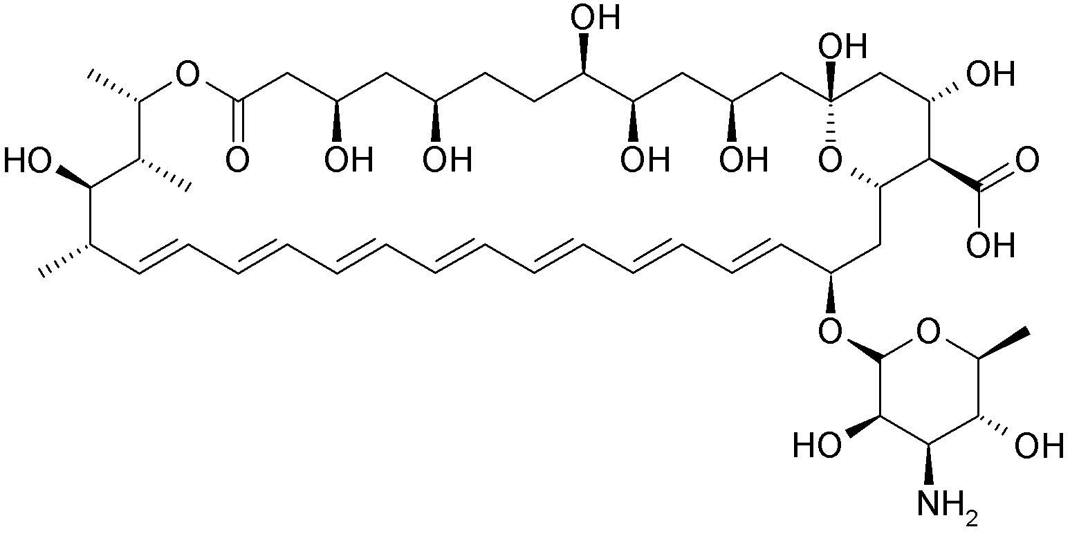
   Kimyasal yapı   

Aerosol
Farmasötik preparatlar Kararlılığı   Aerosol   Farmasötik preparatlar Kararlılığı : Amphotericin B     
Saklama kabı Origine yardımcı madde Isı Saklama    Stabilite süresi Kaynaklar
Cam Enjeksiyon için ilaç şişesi 50 mg
Fungizona® (Squibb Industria Farmaceutica)
Enjeksiyonluk su >> 50 ml
20-25°C Işıklı veya ışıksız
30 Gün
3069

Cam Enjeksiyon için ilaç şişesi 50 mg
Fungizona® (Squibb Industria Farmaceutica)
Enjeksiyonluk su >> 50 ml
4-8°C Işıktan koruyunuz
30 Gün
3069


  Mentions Légales