最新更新 :
18/03/2026
抗真菌药   Amphotericin B  
气雾剂
口服剂 注射液 漱口水 眼药水
制剂的稳定性 混合物稳定性 影响稳定性的因素 兼容性 引用文献 PDF
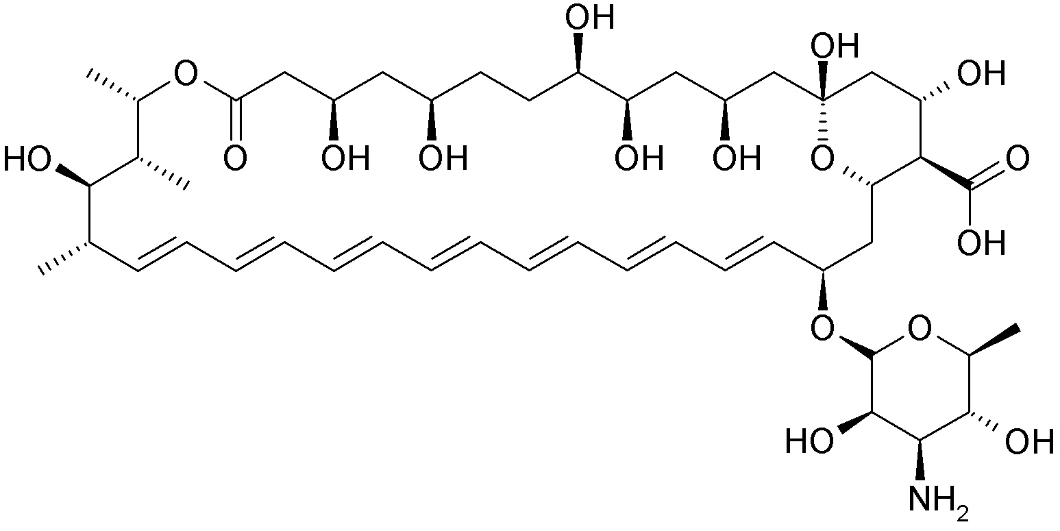
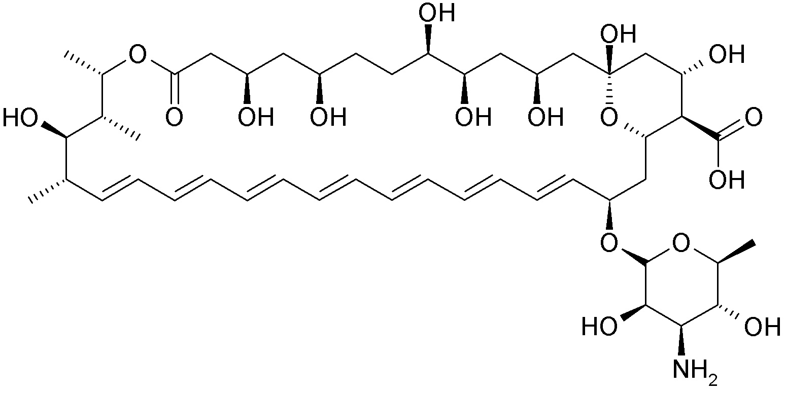
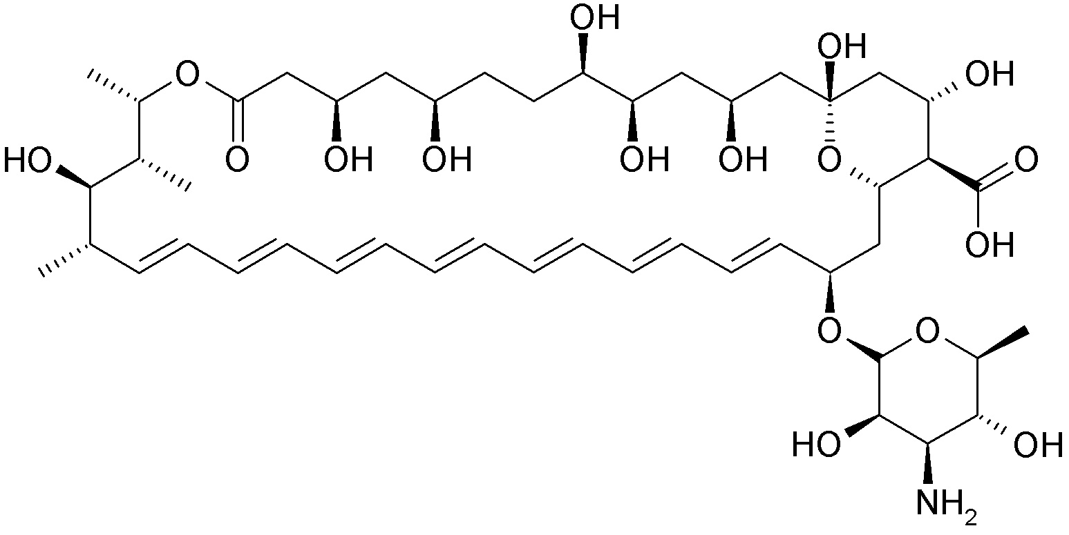
   化学式  

气雾剂
制剂的稳定性   气雾剂   制剂的稳定性 : Amphotericin B     
容器 Origine 添加剂 温度 保存 穩定持續時間 引用文献
玻璃 注射用瓶 50 mg
Fungizona® (Squibb Industria Farmaceutica)
注射用蒸留水 >> 50 ml
20-25°C 光/避光
30 白天
3069

玻璃 注射用瓶 50 mg
Fungizona® (Squibb Industria Farmaceutica)
注射用蒸留水 >> 50 ml
4-8°C 避光
30 白天
3069


  Mentions Légales