Ultimo aggiornamento :
05/12/2025
Antimicotico   Amphotericin B  
Aerosol
Collirio Collutorio Iniezione Soluzione orale
Stabilità dei preparati farmaceutici Stabilità in miscela Fattori che influenzano la stabilità Compatibilità Bibliografia pdf
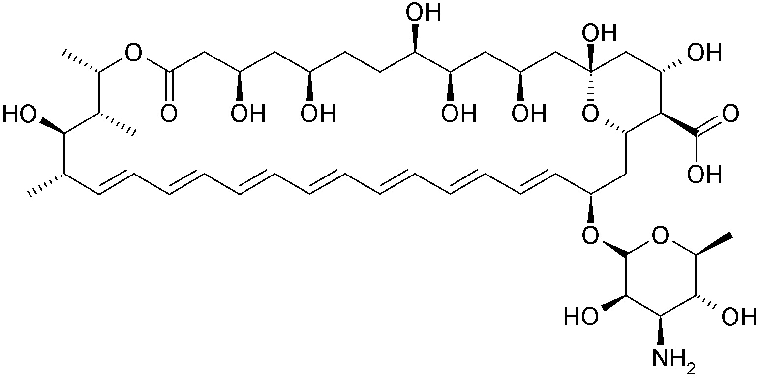
   Struttura chimica  

Aerosol
Stabilità dei preparati farmaceutici   Aerosol   Stabilità dei preparati farmaceutici : Amphotericin B     
contenitore Origine eccipiente Temperatura Conservazione Durata della stabilità Bibliografia
Vetro Bottiglia di medicina per l'iniezione 50 mg
Fungizona® (Squibb Industria Farmaceutica)
acqua per preparazioni iniettabili >> 50 ml
20-25°C Con o senza luce
30 Giorno
3069

Vetro Bottiglia di medicina per l'iniezione 50 mg
Fungizona® (Squibb Industria Farmaceutica)
acqua per preparazioni iniettabili >> 50 ml
4-8°C Al riparo dalla luce
30 Giorno
3069


  Mentions Légales