Posledná aktualizácia :
27/04/2026
antimykotikum   Amphotericin B  
Aerosól
Injekcia Kloktadlo Očná instilácia Perorálny roztok
Stabilita farmaceutických prípravkov Stabilita v zmesiach Faktory ovplyvňujúce stabilitu Kompatibility Odkazy na literatúru PDF
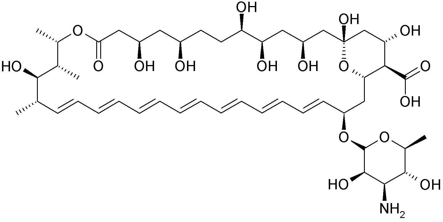
   Chemický vzorec  

Aerosól
Stabilita farmaceutických prípravkov   Aerosól   Stabilita farmaceutických prípravkov : Amphotericin B     
obal Pôvod Pomocná látka teplota uchovávanie Trvanie stability odkazy na lieteratúru
Sklo Injekčná liekovka 50 mg
Fungizona® (Squibb Industria Farmaceutica)
Voda na injekciu >> 50 ml
20-25°C Za svetla alebo chránené pred svetlom
30 dní
3069

Sklo Injekčná liekovka 50 mg
Fungizona® (Squibb Industria Farmaceutica)
Voda na injekciu >> 50 ml
4-8°C Chránené pred svetlom
30 dní
3069


  Mentions Légales