Ostatnia aktualizacja :
27/04/2026
Infostab
Listy
Listy
Szukaj zgodności
Tabela kompatybilności Y-site
Bibliografia
Zespoły badawcze
valistab
plakat
Połączenia
sponsorzy
Autor
Przewodnik użytkoywnika
Biuletynu
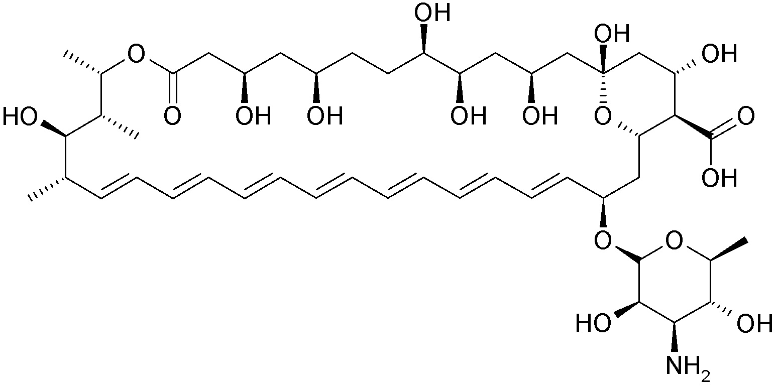
Amphotericin B
Struktura chemiczna
Stabilność preparatów farmaceutycznych : Amphotericin B
50 mg
Fungizona® (Squibb Industria Farmaceutica)
Woda do iniekcji
>> 50 ml
20-25°C
30
3069
50 mg
Fungizona® (Squibb Industria Farmaceutica)
Woda do iniekcji
>> 50 ml
4-8°C
30
3069
Mentions Légales