آخر تحديث :
27/04/2026
مضاد للفطريات   Amphotericin B  
الأيروصولات
حقن عن طريق الفم  غسول الفم قطرات العين
استقرار المستحضرات الصيدلانية استقرار مخاليط العوامل التي تؤثر على الاستقرار التوافق مراجع pdf
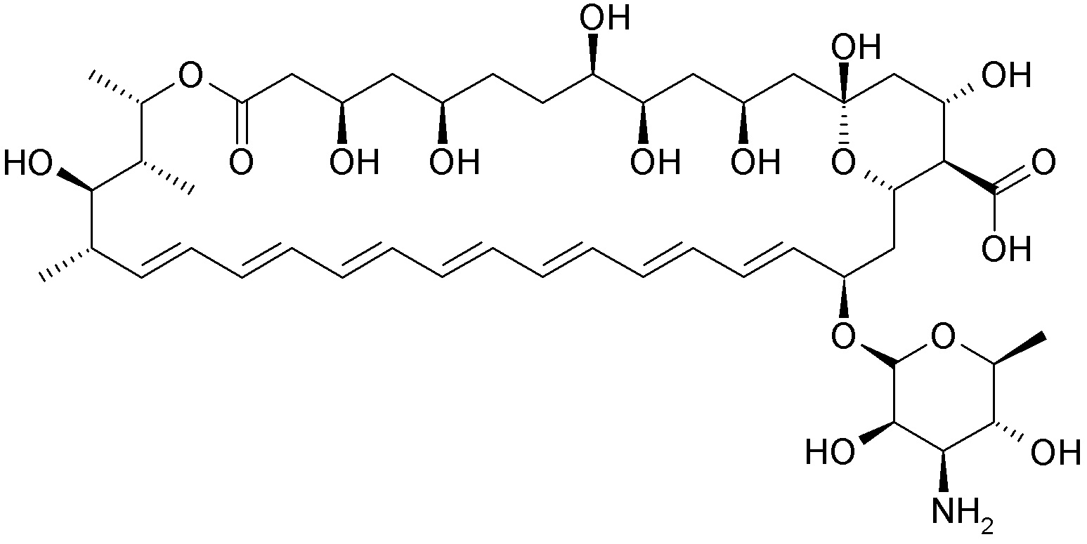
   التركيب الكيميائي  

الأيروصولات
استقرار المستحضرات الصيدلانية   الأيروصولات   استقرار المستحضرات الصيدلانية : Amphotericin B     
حاوية Origine الاضافات درجة الحرارة تخزين مدة الاستقرار مراجع
زجاج زجاجة الدواء للحقن 50 mg
Fungizona® (Squibb Industria Farmaceutica)
المياه للحقن >> 50 ml
20-25°C مع أو بدون ضوء
30 يوم
3069

زجاج زجاجة الدواء للحقن 50 mg
Fungizona® (Squibb Industria Farmaceutica)
المياه للحقن >> 50 ml
4-8°C بعيدا عن الضوء
30 يوم
3069


  Mentions Légales