Poslední aktualizace :
27/01/2026
Infostab
Junginių sąrašas
Sąrašai
Ieškoti suderinamumo
Y formos suderinamumo lentelė
Bibliografija
Mokslinių tyrimų Komandos
valistab
plakatas
Jungtys
rėmėjai
Autorius
Naudojimo instrukcija
Biuletenį
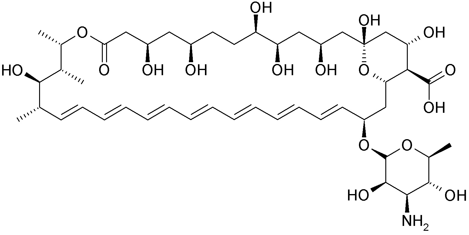
Amphotericin B
Cheminė sandara
Stabilumas farmacinių preparatų : Amphotericin B
50 mg
Fungizona® (Squibb Industria Farmaceutica)
Injekcijų vanduo
>> 50 ml
20-25°C
30
3069
50 mg
Fungizona® (Squibb Industria Farmaceutica)
Injekcijų vanduo
>> 50 ml
4-8°C
30
3069
Mentions Légales