最新更新 :
27/01/2026
抗真菌薬   Amphotericin B  
エアロゾル
含嗽薬 注射薬 点眼薬 経口液
調剤時の安定性 混合時の安定性 安定性に影響する因子 互換性 引用文献 PDF
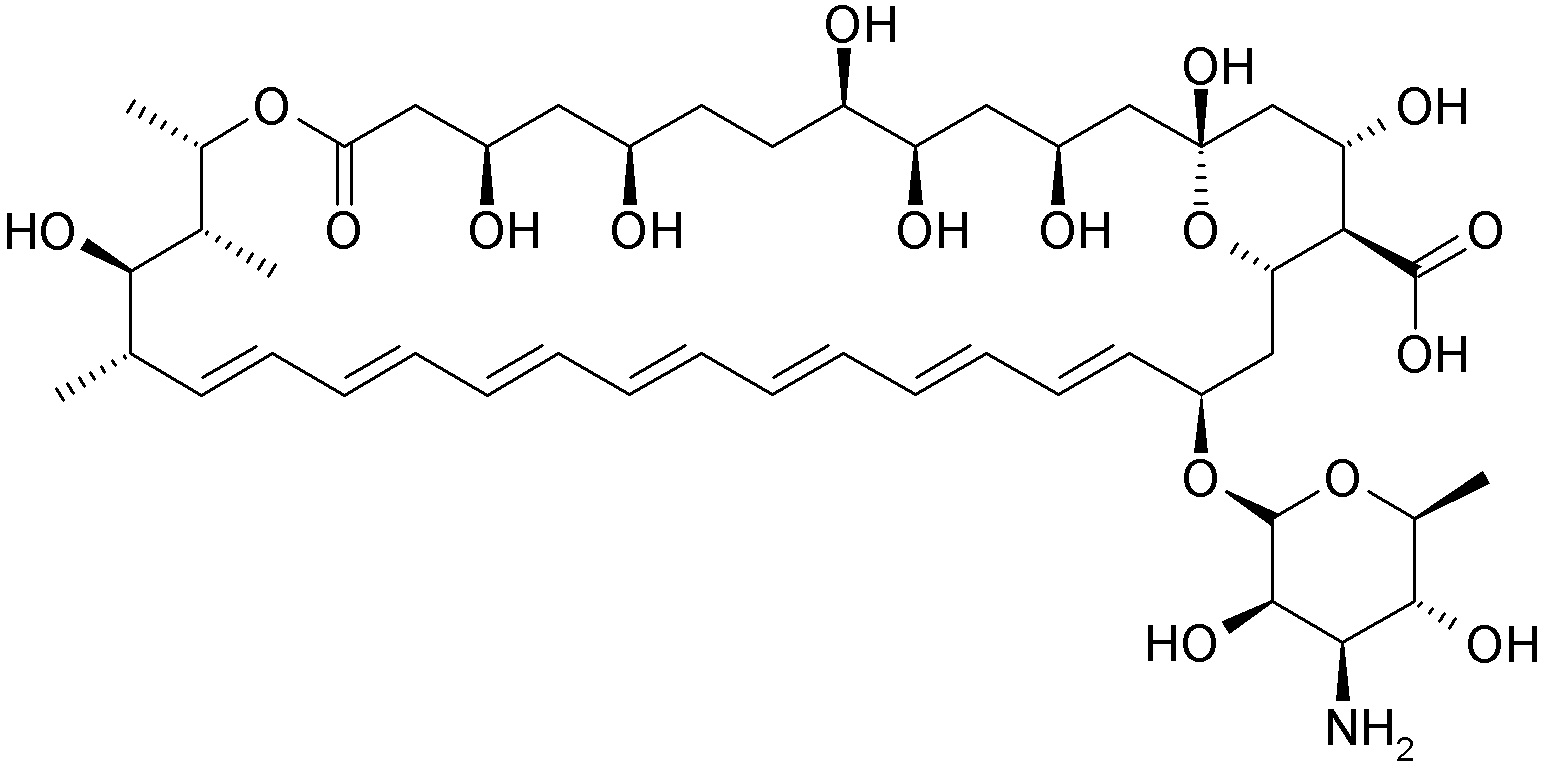
   化学構造  

エアロゾル
調剤時の安定性   エアロゾル   調剤時の安定性 : Amphotericin B     
容器 Origine 添加剤 温度 保管 安定期間 引用文献
ガラス 注射用瓶 50 mg
Fungizona® (Squibb Industria Farmaceutica)
注射用蒸留水 >> 50 ml
20-25°C 光/遮光
30 日
3069

ガラス 注射用瓶 50 mg
Fungizona® (Squibb Industria Farmaceutica)
注射用蒸留水 >> 50 ml
4-8°C 遮光
30 日
3069


  Mentions Légales