zadnja posodobitev :
05/12/2025
Antimikotik   Amphotericin B  
Aerosol
Brizgalka Kapljice za oči Peroralna raztopina Ustna voda
Stabilnost farmacevtskih preparatov Stabilnost mešanice Faktorji, ki vplivajo na stabilnost Kompatibilnost Viri pdf
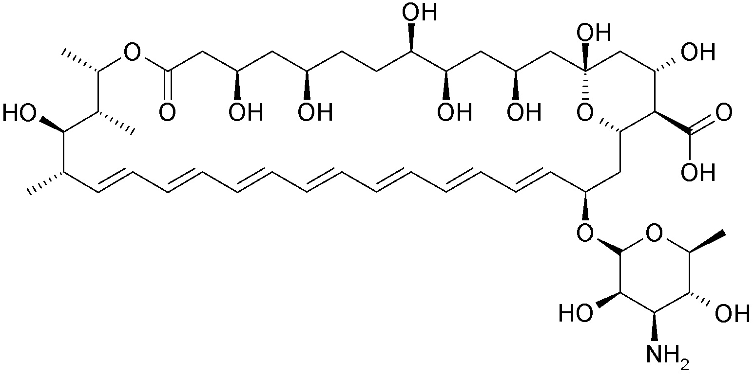
   Kemična formula  

Aerosol
Stabilnost farmacevtskih preparatov   Aerosol   Stabilnost farmacevtskih preparatov : Amphotericin B     
Vsebnik Origine Ekscipient Temperatura Shranjevanje Trajanje stabilnosti Viri
Steklo Medicinske steklenica za injiciranje 50 mg
Fungizona® (Squibb Industria Farmaceutica)
Voda za injekcije >> 50 ml
20-25°C Z ali brez svetlobe
30 Dan
3069

Steklo Medicinske steklenica za injiciranje 50 mg
Fungizona® (Squibb Industria Farmaceutica)
Voda za injekcije >> 50 ml
4-8°C Zaščiteno pred svetlobo
30 Dan
3069


  Mentions Légales