Last update :
05/12/2025
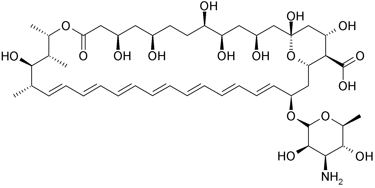
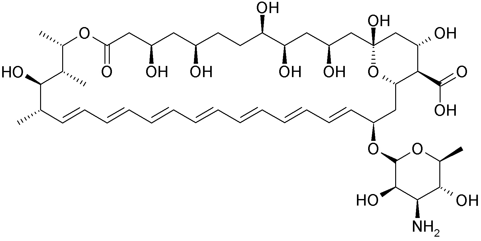
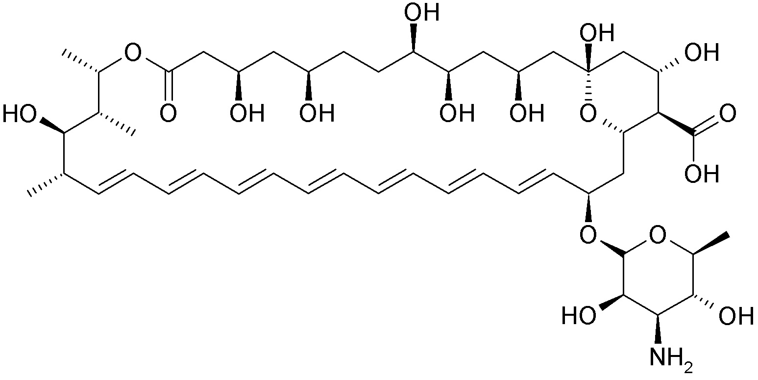
Antifungal   Amphotericin B  
aerosol
Eye-drops injection Mouthwash Oral solution
Stability of pharmaceutical preparations Stability of mixtures Factors which affect stability Compatibility References pdf
   Chemical structure  

aerosol
Stability of pharmaceutical preparations   aerosol   Stability of pharmaceutical preparations : Amphotericin B     
Container Origine excipient Temperature Storage Duration of stability References
Glass Medicine bottle for injection 50 mg
Fungizona® (Squibb Industria Farmaceutica)
Water for injection >> 50 ml
20-25°C With or without light
30 Day
3069

Glass Medicine bottle for injection 50 mg
Fungizona® (Squibb Industria Farmaceutica)
Water for injection >> 50 ml
4-8°C Protect from light
30 Day
3069


  Mentions Légales