Última actualização :
27/01/2026
Antifúngico   Amphotericin B  
aerossol
colutório injetável solução oftálmica Solução Oral
Estabilidade de preparações farmacêuticas Estabilidade em misturas Factores que afectam a sua estabilidade Compatibilidade Bibliografía pdf
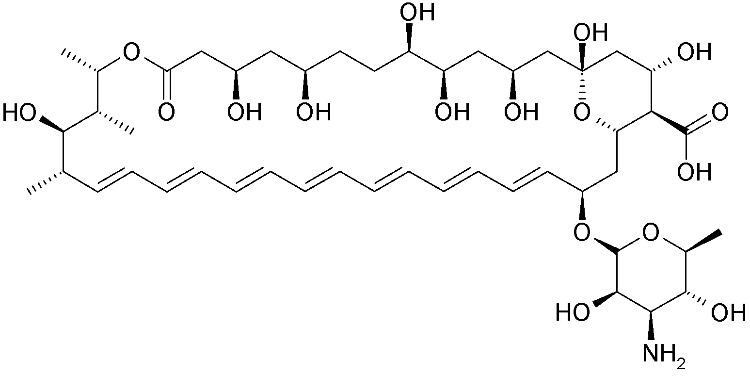
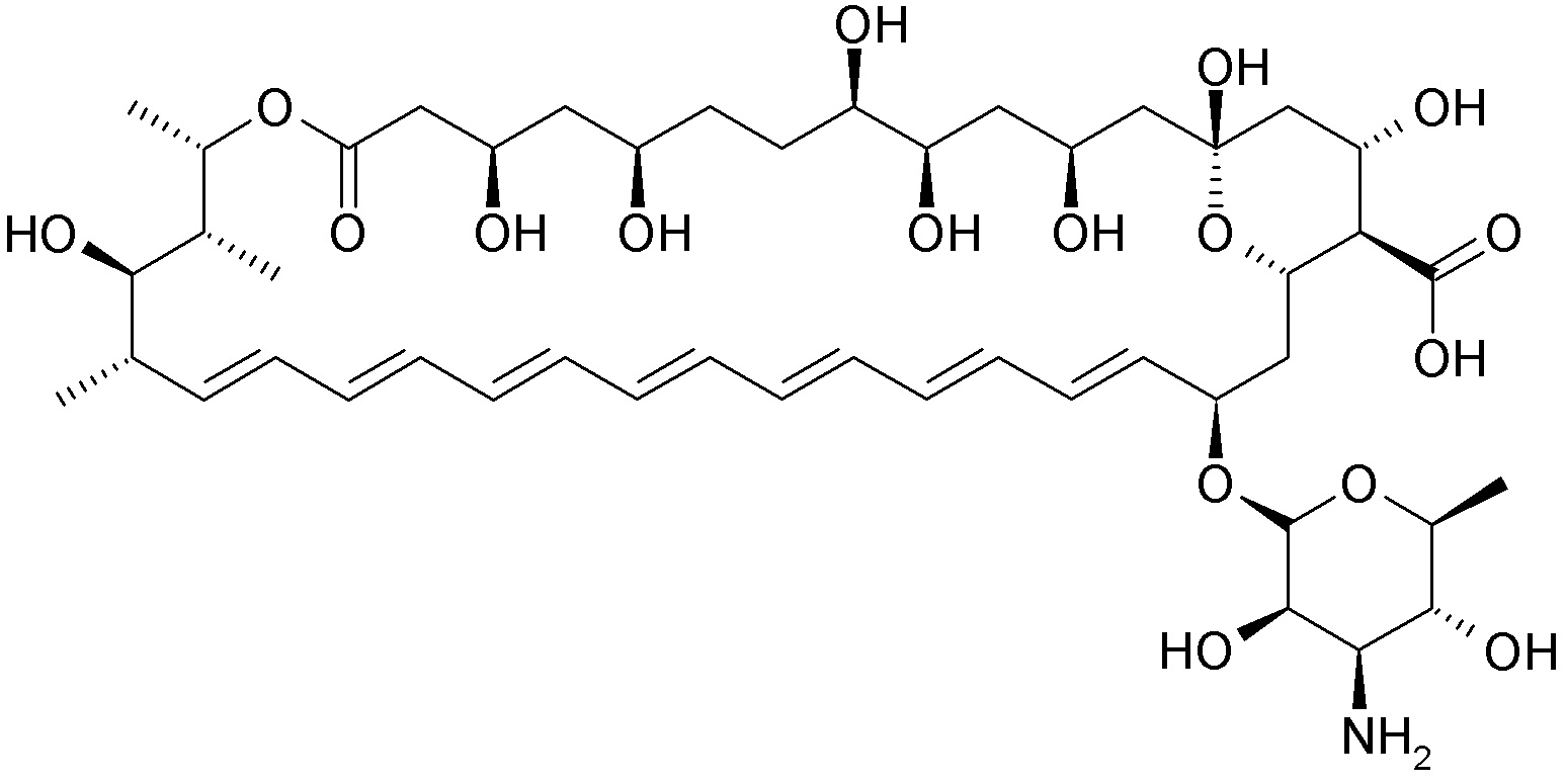
   estrutura química  

aerossol
Estabilidade de preparações farmacêuticas   aerossol   Estabilidade de preparações farmacêuticas : Amphotericin B     
Embalagem Origine excipiente temperatura conservação Duração da estabilidade Bibliografia
vidro frasco de medicamento para injeção 50 mg
Fungizona® (Squibb Industria Farmaceutica)
água para injeção >> 50 ml
20-25°C Com ou sem luz
30 dia
3069

vidro frasco de medicamento para injeção 50 mg
Fungizona® (Squibb Industria Farmaceutica)
água para injeção >> 50 ml
4-8°C ao abrigo da luz
30 dia
3069


  Mentions Légales