Cập nhật lần cuối :
27/04/2026
Thuốc chống nấm   Amphotericin B  
Thuốc nhỏ mắt
Dạng tiêm Dung dịch uống Khí dung Thuốc súc miệng
Tính ổn định của các chế phẩm Độ ổn định khi trộn lẫn Những yếu tố ảnh hưởng đến độ ổn định Khả năng tương thích Tài liệu tham khảo Pdf
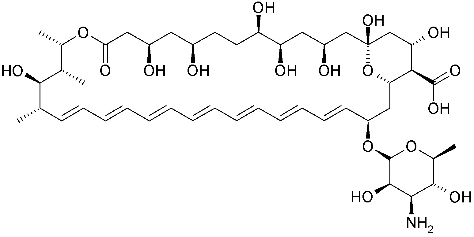
   Cấu trúc hóa học  

Thuốc nhỏ mắt

Những yếu tố ảnh hưởng đến độ ổn định   Thuốc nhỏ mắt   Những yếu tố ảnh hưởng đến độ ổn định : Amphotericin B        
Mục lục
Nhiệt độ 25°C Tạo thành Giảm độ ổn định 2867

  Mentions Légales