Poslední aktualizace :
27/04/2026
Priešgrybelinis vaistas   Amphotericin B  
Akių lašai
Aerozolis Geriamas tirpalas Įpurškimas Skystis burnai skalauti
Stabilumas farmacinių preparatų Mišinių stabilumas Stabilumą lemiantys veiksniai Suderinamumas Bibliografija pdf
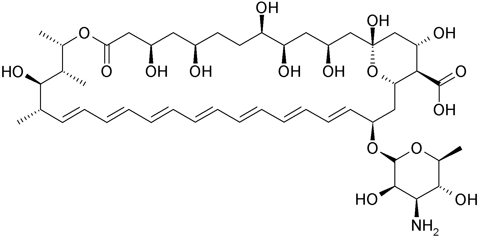
   Cheminė sandara  

Akių lašai

Stabilumą lemiantys veiksniai   Akių lašai   Stabilumą lemiantys veiksniai : Amphotericin B        
Nuorodos
Temperatūra 25°C Skatina Mažesnis stabilumas 2867

  Mentions Légales