Останнє оновлення :
27/04/2026
Протигрибковий   Amphotericin B  
Очні краплі
ін'єкція аерозоль Ополіскувач ротової порожнини Розчин для перорального застосування
Стабільність фармацевтичних препаратів Стійкість сумішей Фактори, що впливають на стабільність Сумісність Список літератури pdf
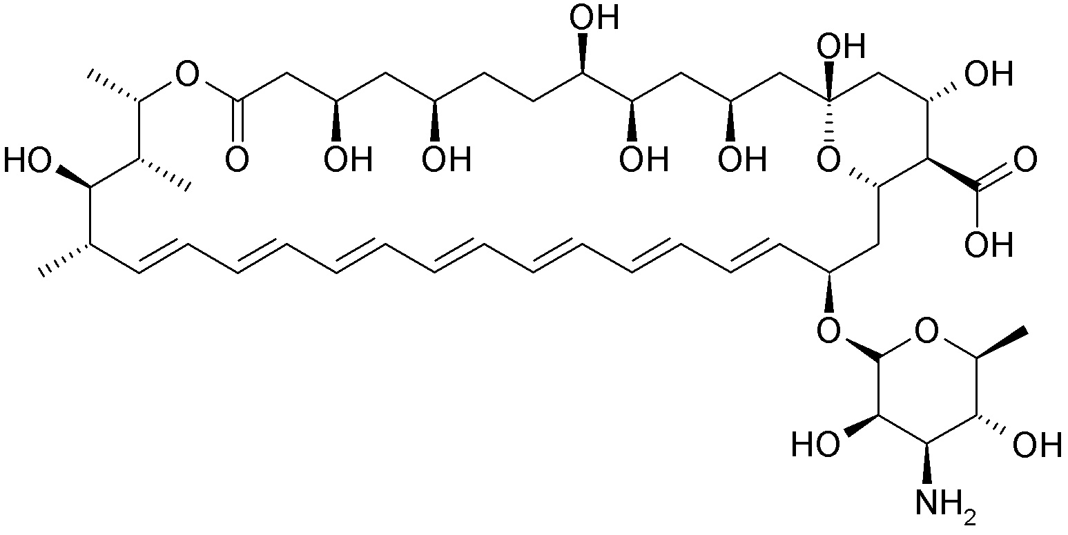
   Хімічна структура  

Очні краплі

Фактори, що впливають на стабільність   Очні краплі   Фактори, що впливають на стабільність : Amphotericin B        
Список літератури
температура 25°C Спонукає Знижена стійкість 2867

  Mentions Légales