Last update :
27/04/2026
Antifungal   Amphotericin B  
Eye-drops
aerosol injection Mouthwash Oral solution
Stability of pharmaceutical preparations Stability of mixtures Factors which affect stability Compatibility References pdf
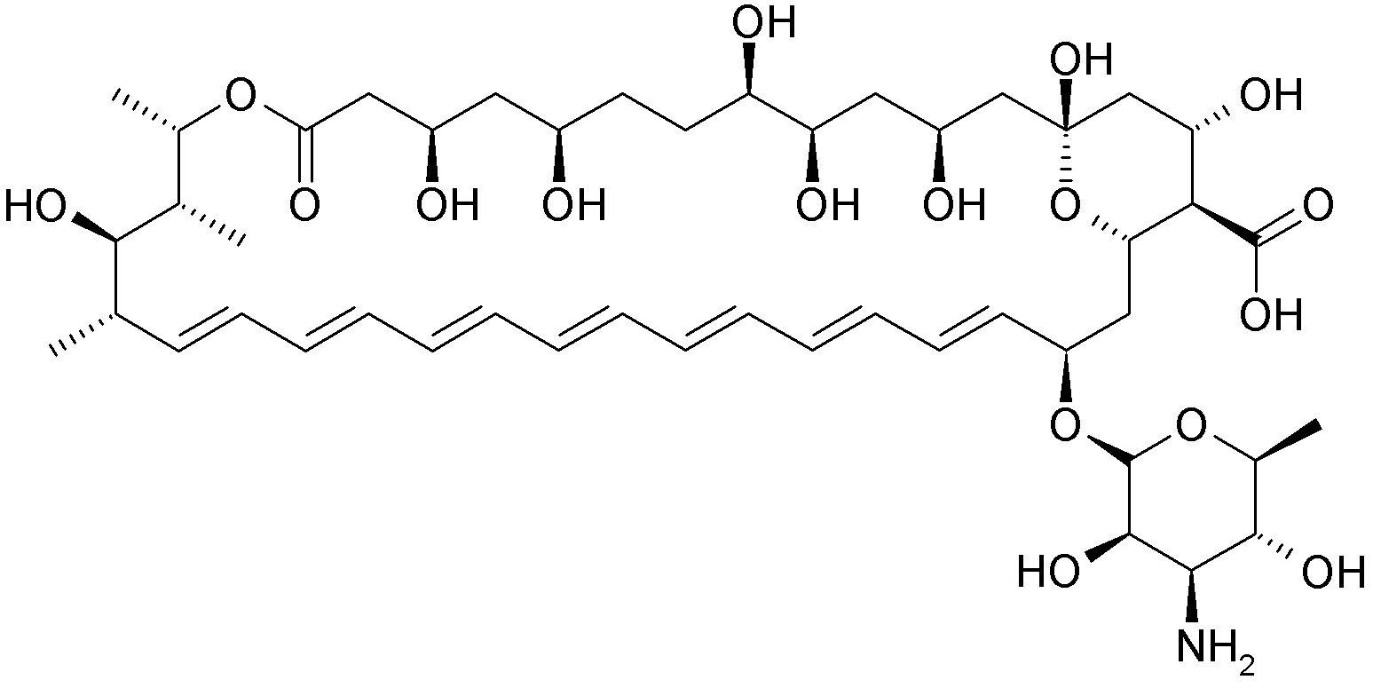
   Chemical structure  

Eye-drops

Factors which affect stability   Eye-drops   Factors which affect stability : Amphotericin B        
References
Temperature 25°C Induces Reduced stability 2867

  Mentions Légales