Poslední aktualizace :
27/04/2026
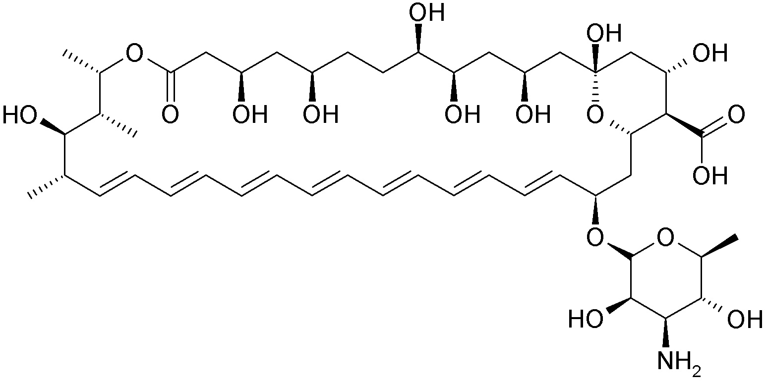
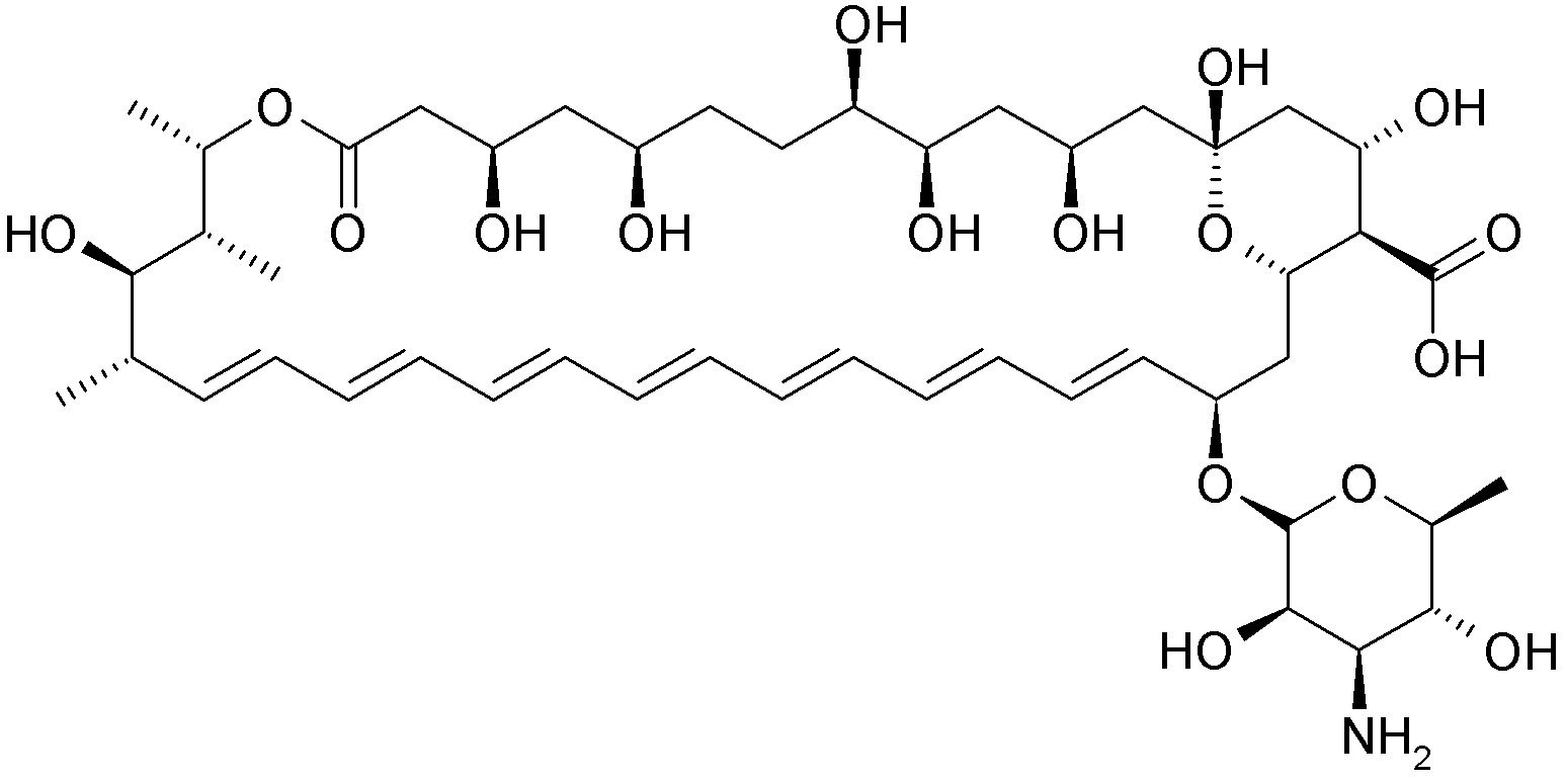
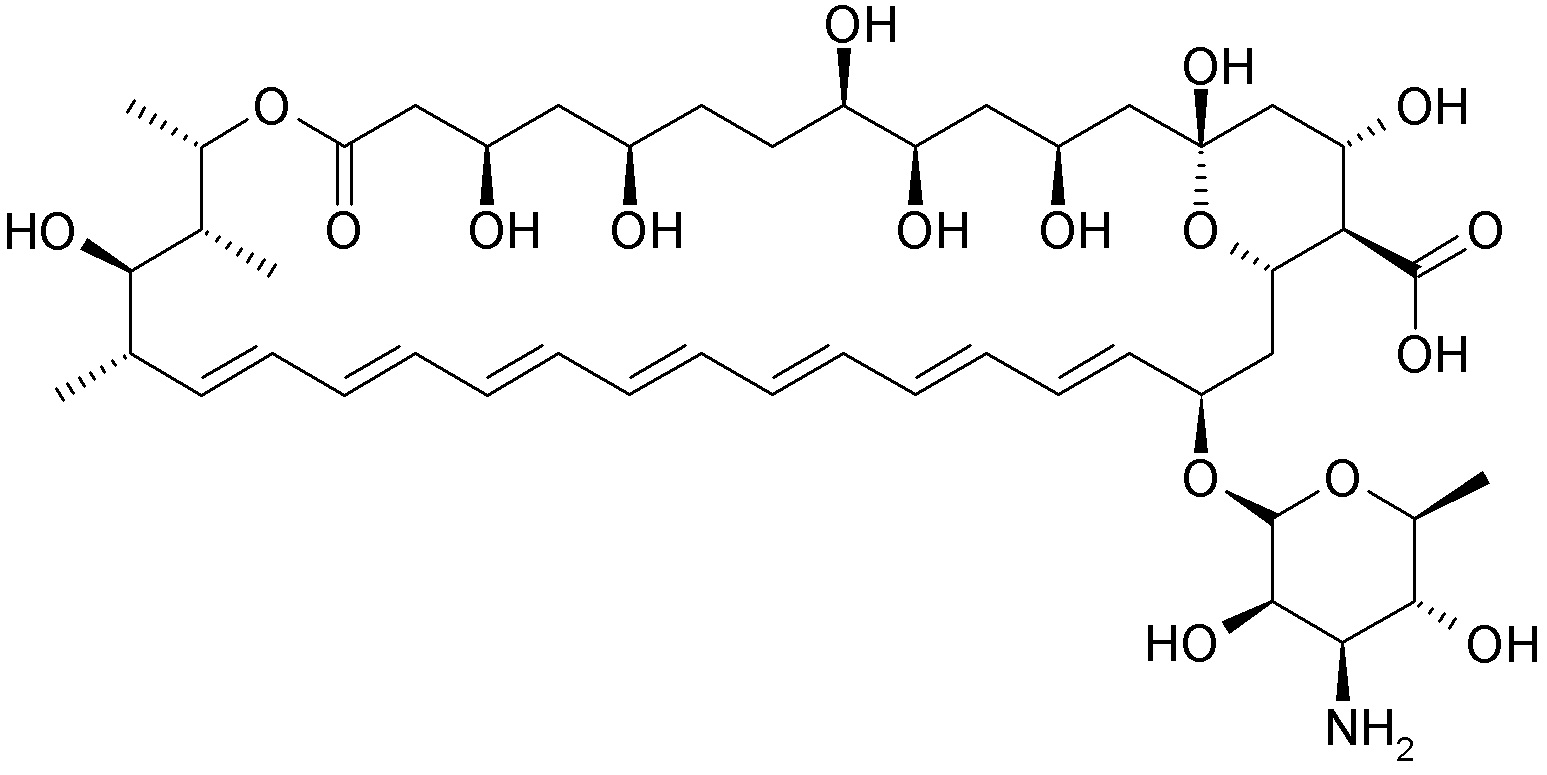
Protiplísňový přípravek   Amphotericin B  
Humbuk
Aerosol injekce kloktadlo Perorální roztok
Stabilita farmaceutických přípravků Stabilita směsí Faktory ovlivňující stabilitu Kompatibilita Odkazy pdf
   Chemický vzorec  

Humbuk

Faktory ovlivňující stabilitu   Humbuk   Faktory ovlivňující stabilitu : Amphotericin B        
Odkazy
Teplota 25°C Indukuje Snížená stabilita 2867

  Mentions Légales