Seneste opdatering :
27/04/2026
Antisvampe   Amphotericin B  
Øjendråber
Aerosol Injektion Mundskyllevæske Oral opløsning
Stabilitet af farmaceutiske tilberedninger Stabilitet i blandinger Faktorer der påvirker stabiliteten Kompatibilitet Bibliografi pdf
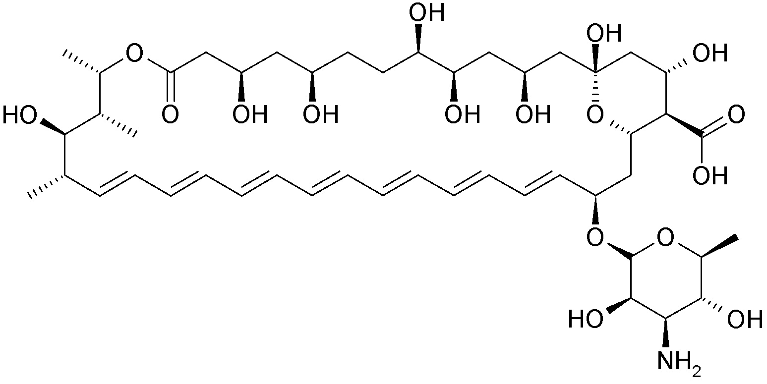
   Kemisk struktur  

Øjendråber

Faktorer der påvirker stabiliteten   Øjendråber   Faktorer der påvirker stabiliteten : Amphotericin B        
Bibliografi
Temperatur 25°C Fremkalde Nedsat stabilitet 2867

  Mentions Légales