Ultimo aggiornamento :
27/04/2026
Antimicotico   Amphotericin B  
Collirio
Aerosol Collutorio Iniezione Soluzione orale
Stabilità dei preparati farmaceutici Stabilità in miscela Fattori che influenzano la stabilità Compatibilità Bibliografia pdf
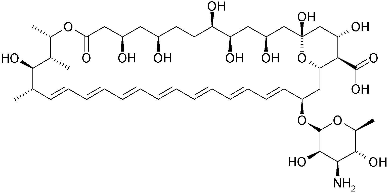
   Struttura chimica  

Collirio

Fattori che influenzano la stabilità   Collirio   Fattori che influenzano la stabilità : Amphotericin B        
Bibliografia
Temperatura 25°C Provoca Diminuzione della stabilità 2867

  Mentions Légales