最新更新 :
27/04/2026
抗真菌药   Amphotericin B  
眼药水
口服剂 气雾剂 注射液 漱口水
制剂的稳定性 混合物稳定性 影响稳定性的因素 兼容性 引用文献 PDF
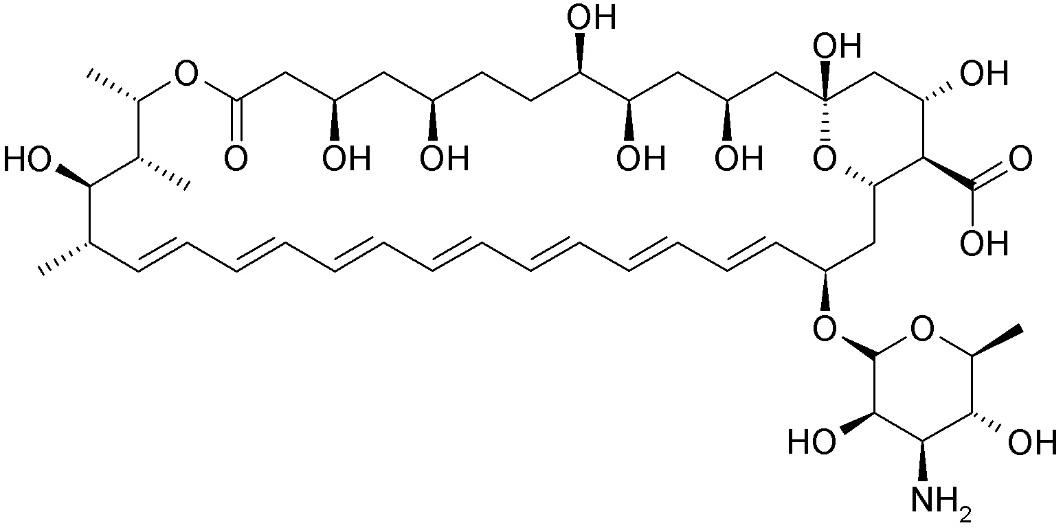
   化学式  

眼药水

影响稳定性的因素   眼药水   影响稳定性的因素 : Amphotericin B        
引用文献
温度 25°C 诱导 稳定性减弱 2867

  Mentions Légales