آخر تحديث :
27/04/2026
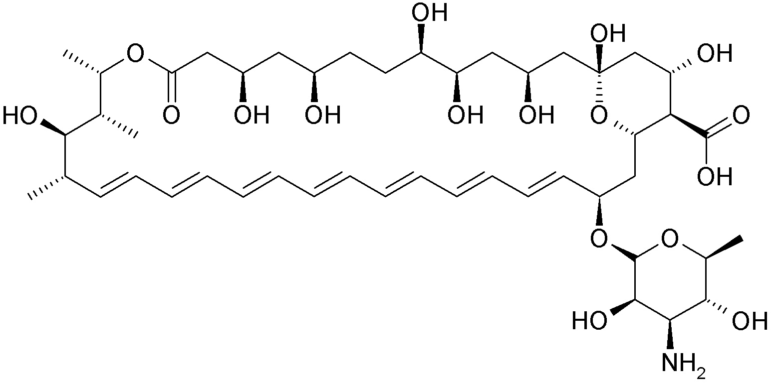
مضاد للفطريات   Amphotericin B  
قطرات العين
الأيروصولات حقن عن طريق الفم  غسول الفم
استقرار المستحضرات الصيدلانية استقرار مخاليط العوامل التي تؤثر على الاستقرار التوافق مراجع pdf
   التركيب الكيميائي  

قطرات العين

العوامل التي تؤثر على الاستقرار   قطرات العين   العوامل التي تؤثر على الاستقرار : Amphotericin B        
مراجع
درجة الحرارة 25 ° C الحث تخفيض الاستقرار 2867

  Mentions Légales