Zadnji put ažurirano :
27/04/2026
antifungicid   Amphotericin B  
kapi za oko
aerosol injekcija oralna otopina  otopina za ispiranje usne šupljine
Stabilnost farmaceutskih pripravaka Stabilnost mješavine Stabilizacijski faktor Kompatibilnosti Bibliografija pdf
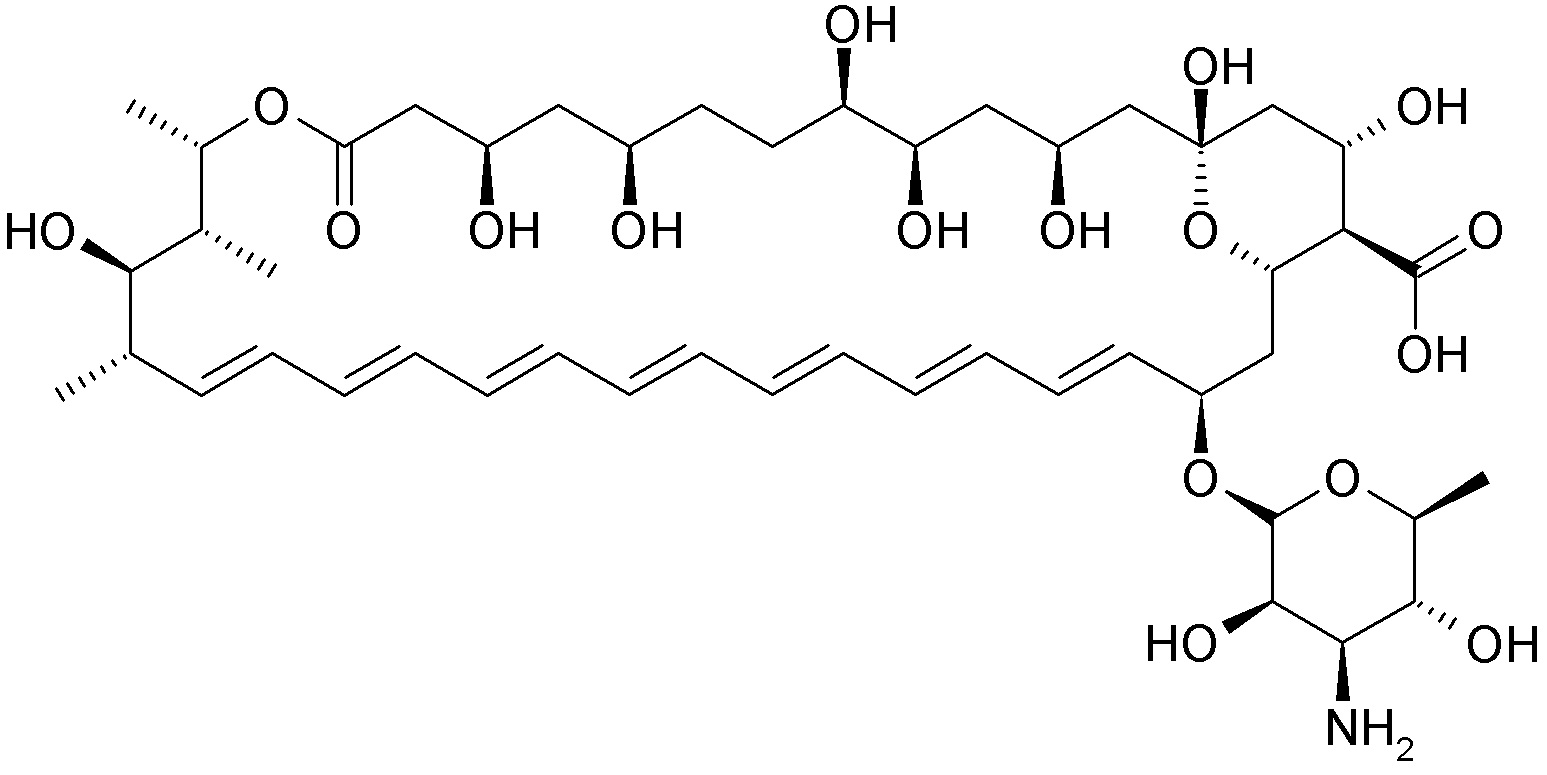
   Kemijska struktura  

kapi za oko

Stabilizacijski faktor   kapi za oko   Stabilizacijski faktor : Amphotericin B        
Bibliografija
temperatura 25°C izaziva Smanjenje stabilnosti 2867

  Mentions Légales