Pēdējā atjaunošana :
27/04/2026
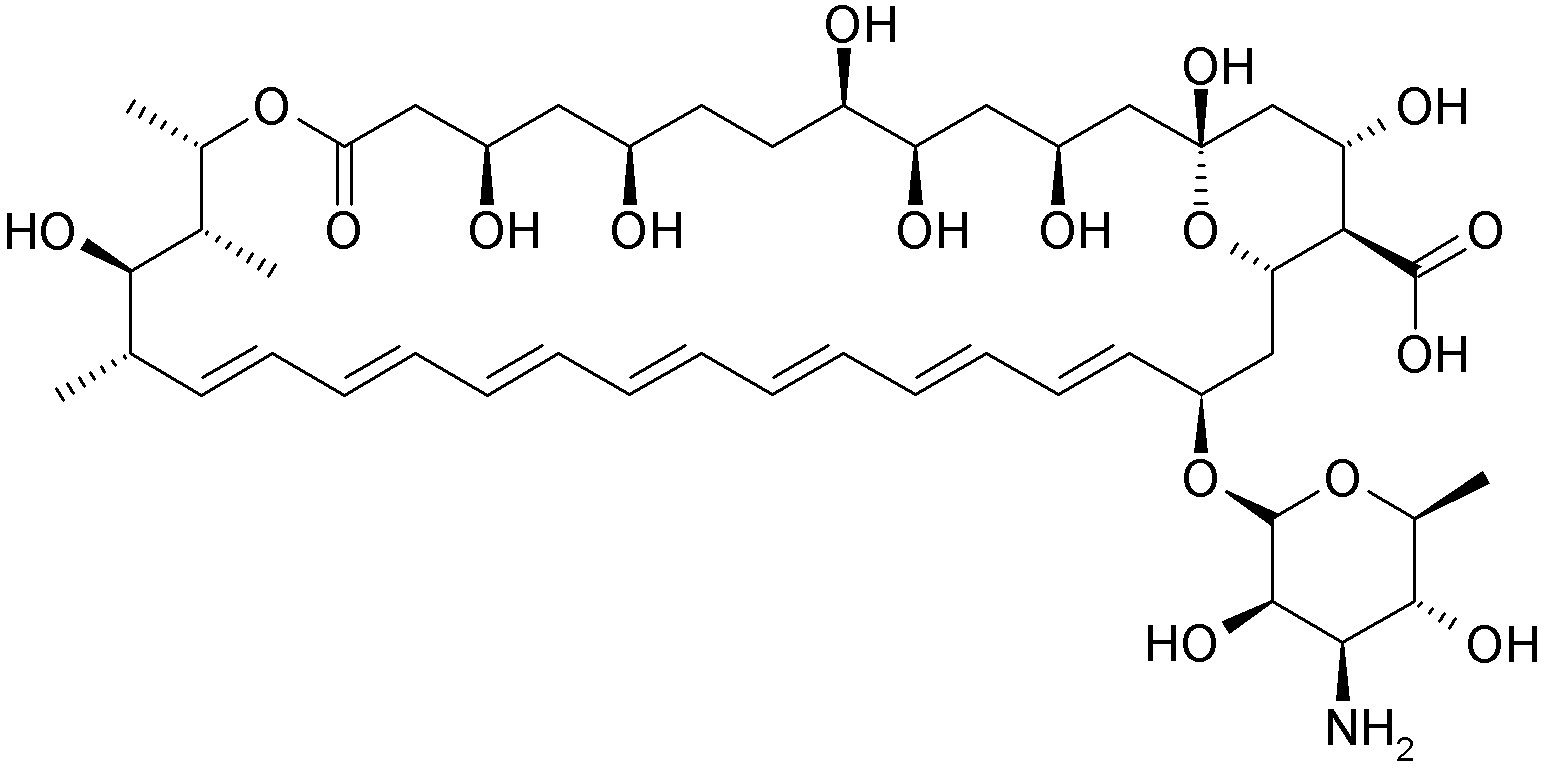
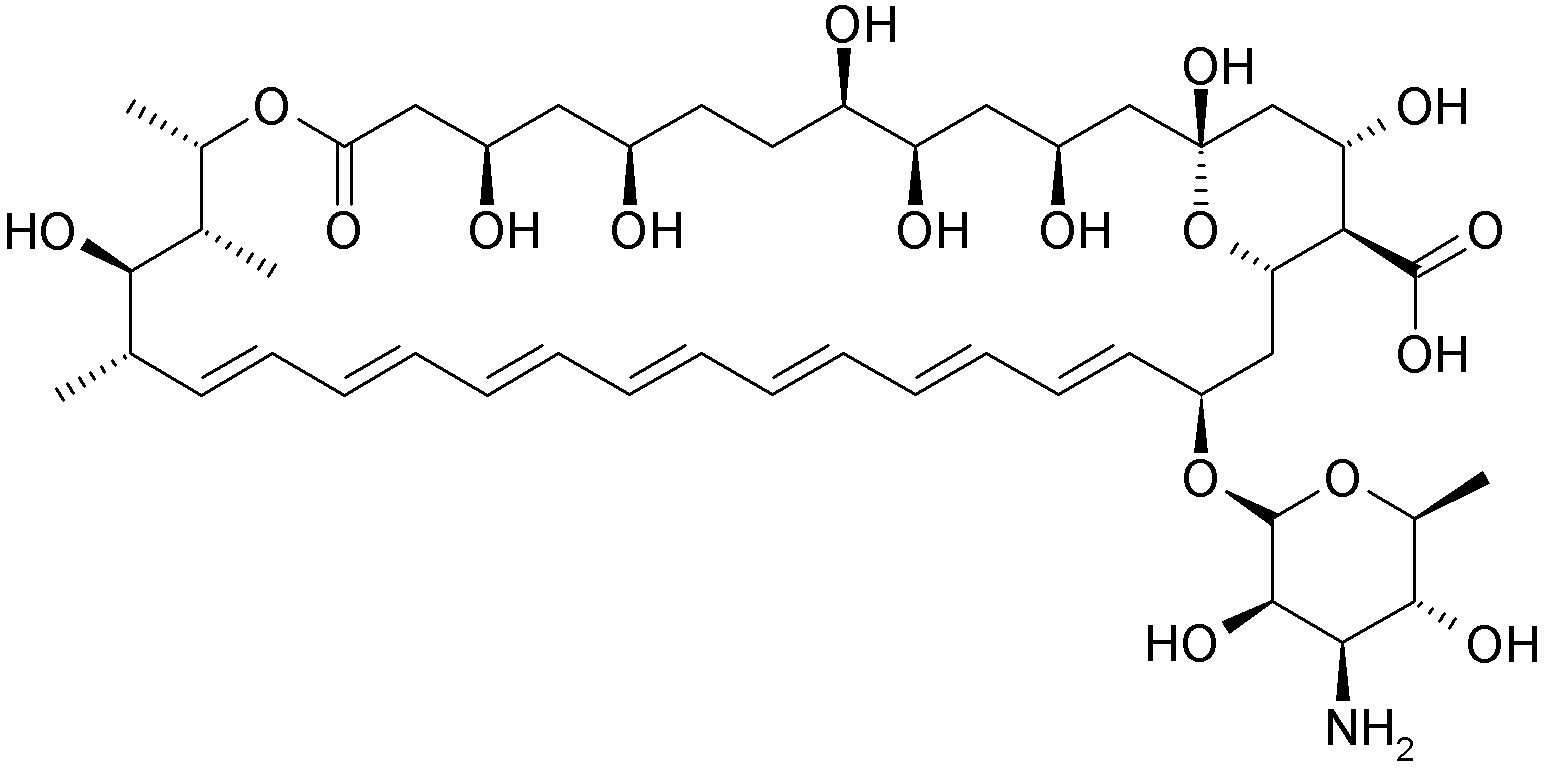
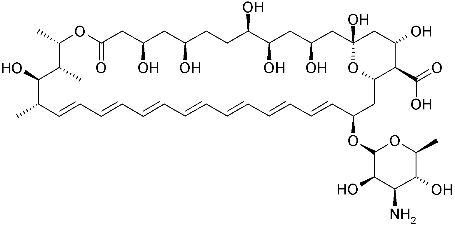
Pretsēnīšu līdzeklis   Amphotericin B  
Acu pilieni
Aerosols Injekcija Mutes skalojamais līdzeklis Orāls šķīdums
Stabilitāte farmaceitisko preparātu Maisījuma stabilitāte Stabilitāti ietekmējoši faktori Saderība Literatūras saraksts pdf
   Ķīmiskā uzbūve   

Acu pilieni

Stabilitāti ietekmējoši faktori   Acu pilieni   Stabilitāti ietekmējoši faktori : Amphotericin B        
Literatūras saraksts
Temperatūra 25°C Izraisošs Stabilitātes samazināšana 2867

  Mentions Légales