Son güncelleme :
27/04/2026
Antifungal   Amphotericin B  
Göz damlası
Aerosol Enjeksiyon Gargara Oral solüsyon / oral çözelti
Farmasötik preparatlar Kararlılığı Karışımlardaki stabilitesi Stabiliteyi etkileyen faktörler Uyumluluk Kaynaklar pdf
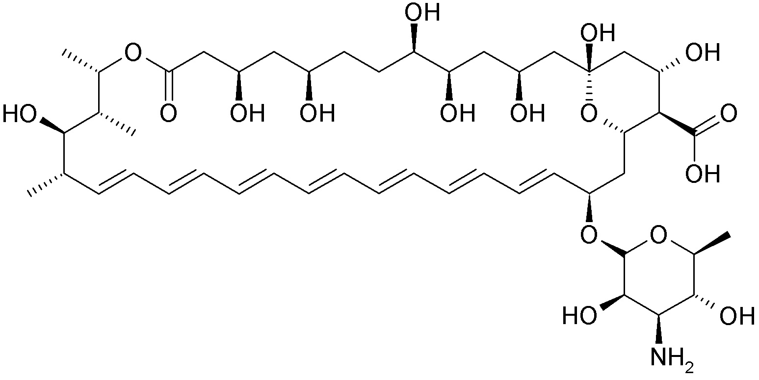
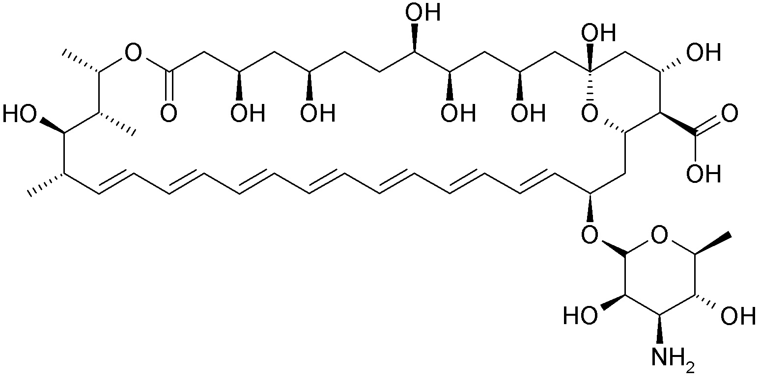
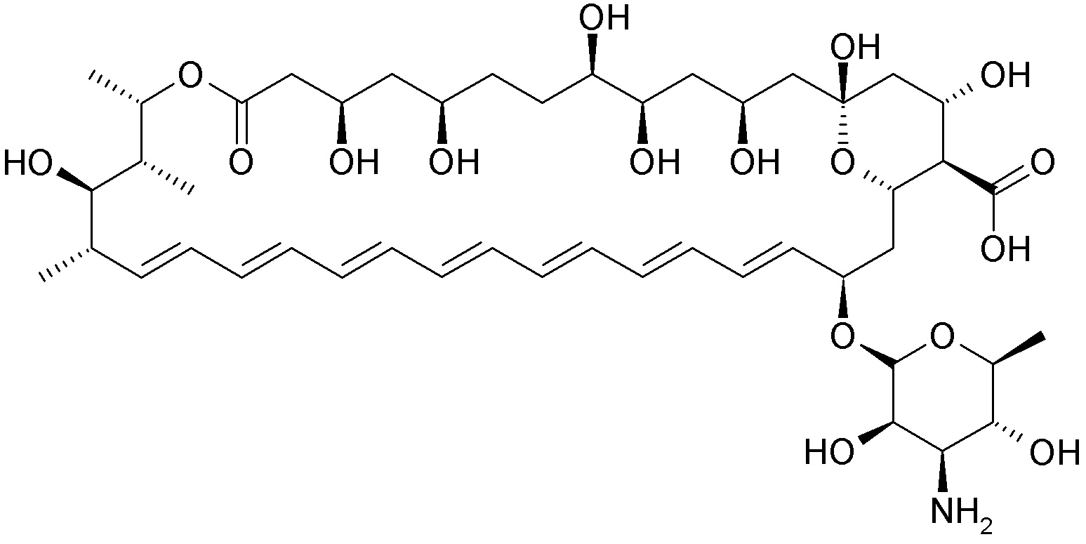
   Kimyasal yapı   

Göz damlası

Stabiliteyi etkileyen faktörler    Göz damlası   Stabiliteyi etkileyen faktörler : Amphotericin B        
Kaynaklar
Isı 25°C İndükler Stabilitede azalma 2867

  Mentions Légales