Última actualização :
27/04/2026
Antifúngico   Amphotericin B  
solução oftálmica
aerossol colutório injetável Solução Oral
Estabilidade de preparações farmacêuticas Estabilidade em misturas Factores que afectam a sua estabilidade Compatibilidade Bibliografía pdf
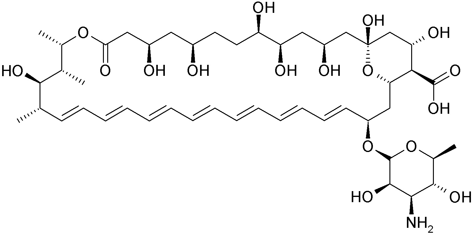
   estrutura química  

solução oftálmica

Factores que afectam a sua estabilidade   solução oftálmica   Factores que afectam a sua estabilidade : Amphotericin B        
Bibliografia
temperatura 25°C Provoca Diminuição da estabilidade 2867

  Mentions Légales