Son güncelleme :
27/01/2026
Çeşitli   Baclofen  
Oral solüsyon / oral çözelti
Enjeksiyon Merhem
Farmasötik preparatlar Kararlılığı Karışımlardaki stabilitesi Stabiliteyi etkileyen faktörler Uyumluluk Kaynaklar pdf
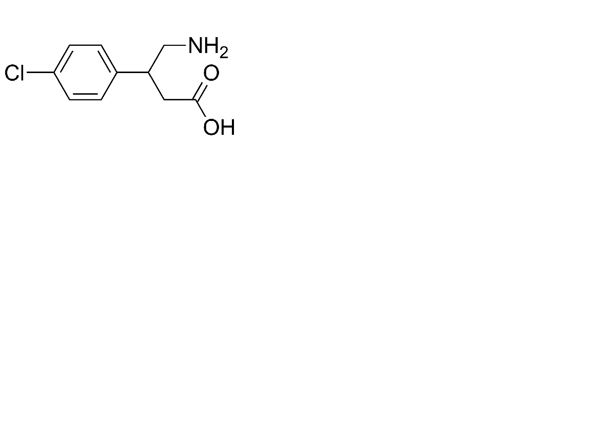
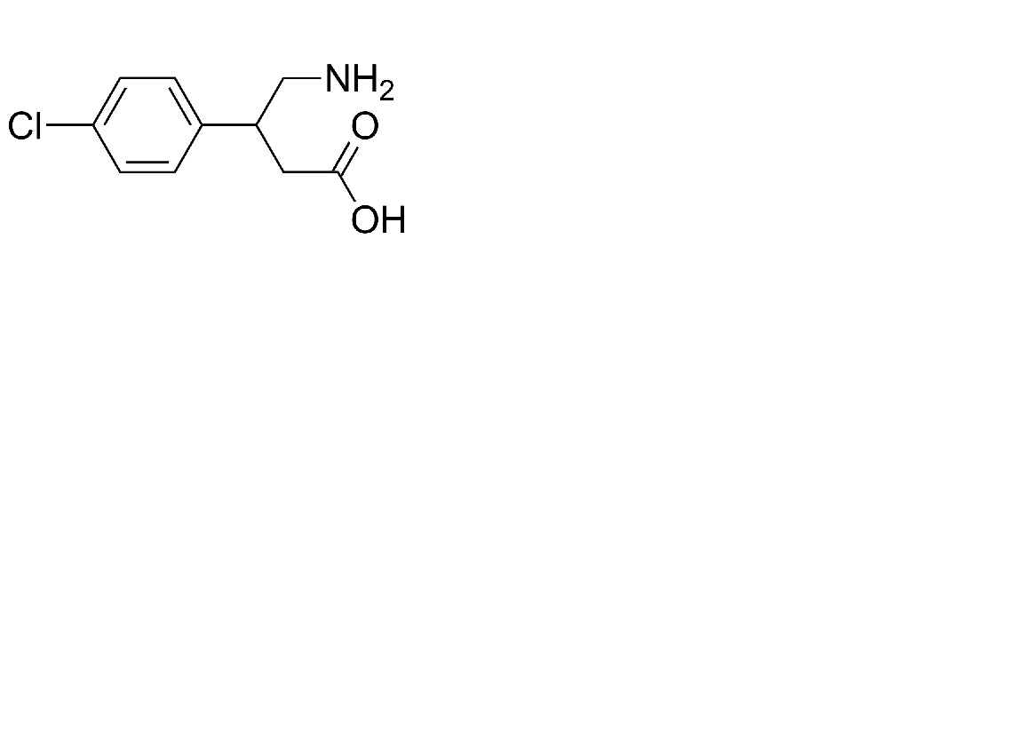
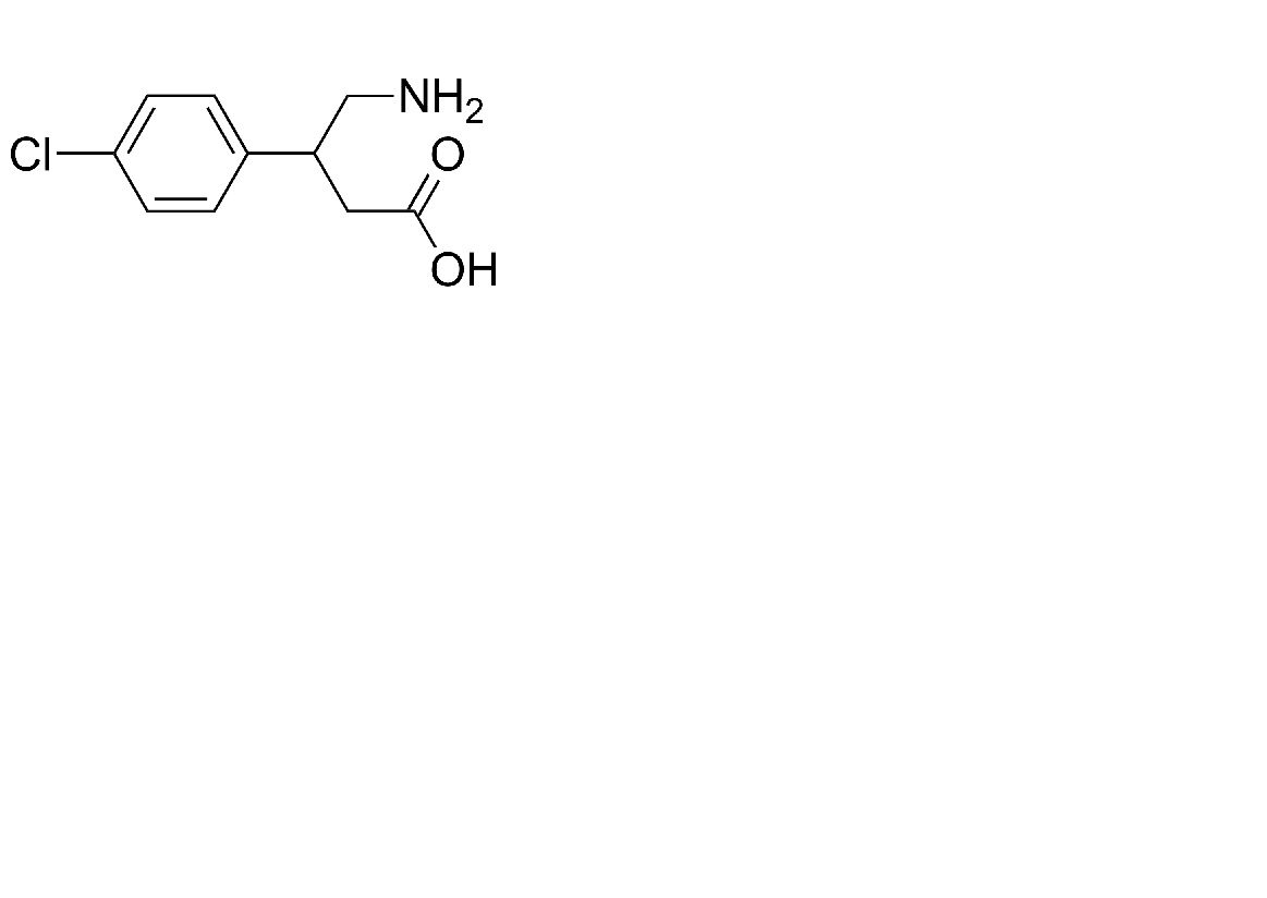
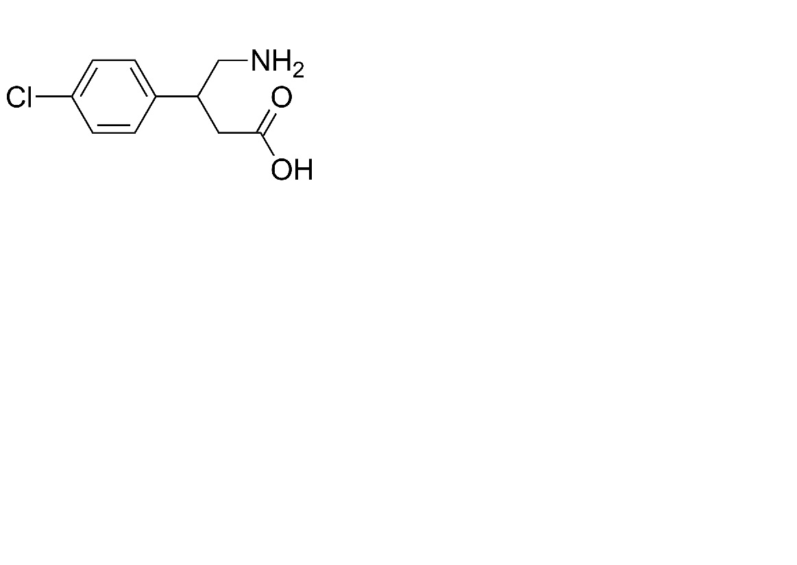
   Kimyasal yapı   

Oral solüsyon / oral çözelti
Uyumluluk   Oral solüsyon / oral çözelti   Uyumluluk : Baclofen              
veri yok

  Mentions Légales