viimane versioon :
27/01/2026
mitmesugune   Baclofen  
suukaudne lahus
salv Süsteravim
Stabiilsust ravimpreparaadid Stabiilsust mõjutavad tegurid stabiilsust mõjutavad faktorid Sobimatus Viited pdf
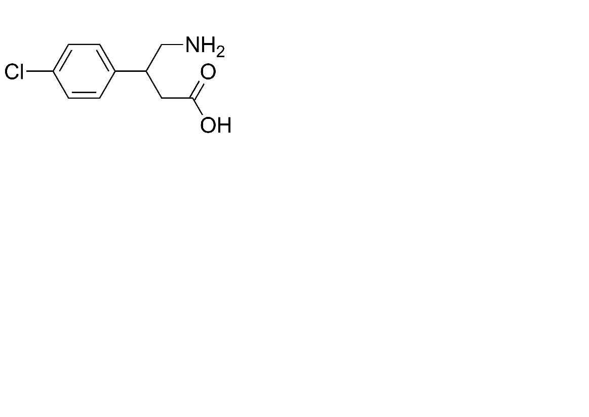
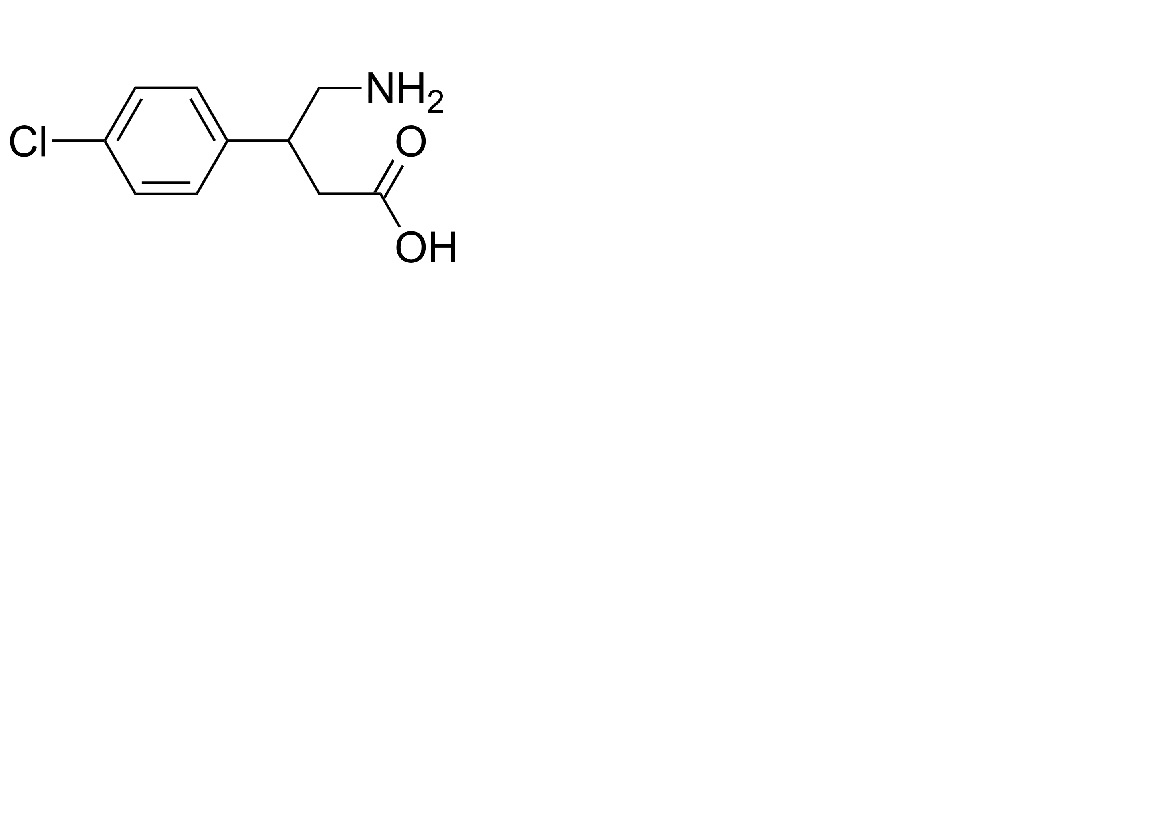
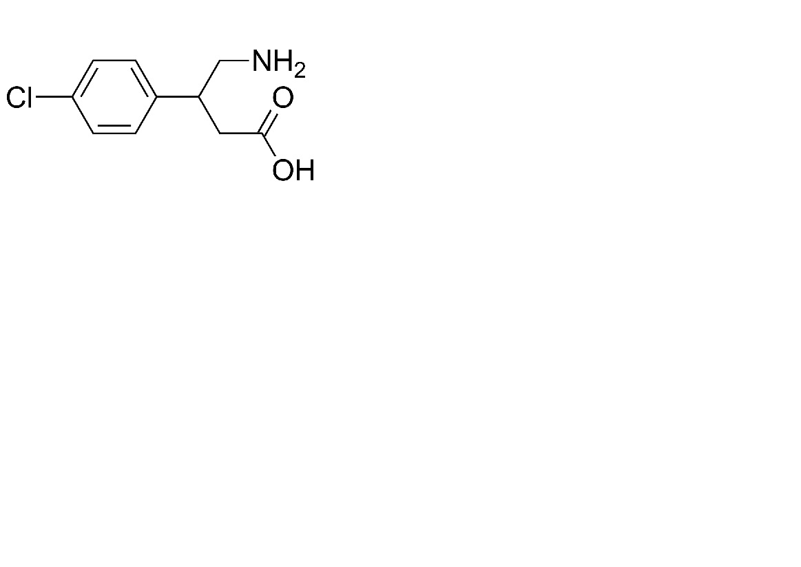
   keemiline struktuur  

suukaudne lahus
Sobimatus   suukaudne lahus   Sobimatus : Baclofen              
andmed puuduvad

  Mentions Légales