Последнее обновление :
27/01/2026
Разное   Baclofen  
Раствор для перорального приёма
Инъекция Мази
Стабильность фармацевтических препаратов Стабильность смесей Факторы, которые влияют на стабильность Совместимость Библиография pdf
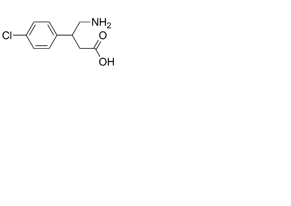
   Химическая структура  

Раствор для перорального приёма
Совместимость   Раствор для перорального приёма   Совместимость : Baclofen              
данных нет

  Mentions Légales