Ostatnia aktualizacja :
27/04/2026
Różne   Baclofen  
Roztwór doustny
Injekcje Maści
Stabilność preparatów farmaceutycznych Trwałość w mieszaninie Czynnik wpływający na trwałość Zgodność Bibliografia pdf
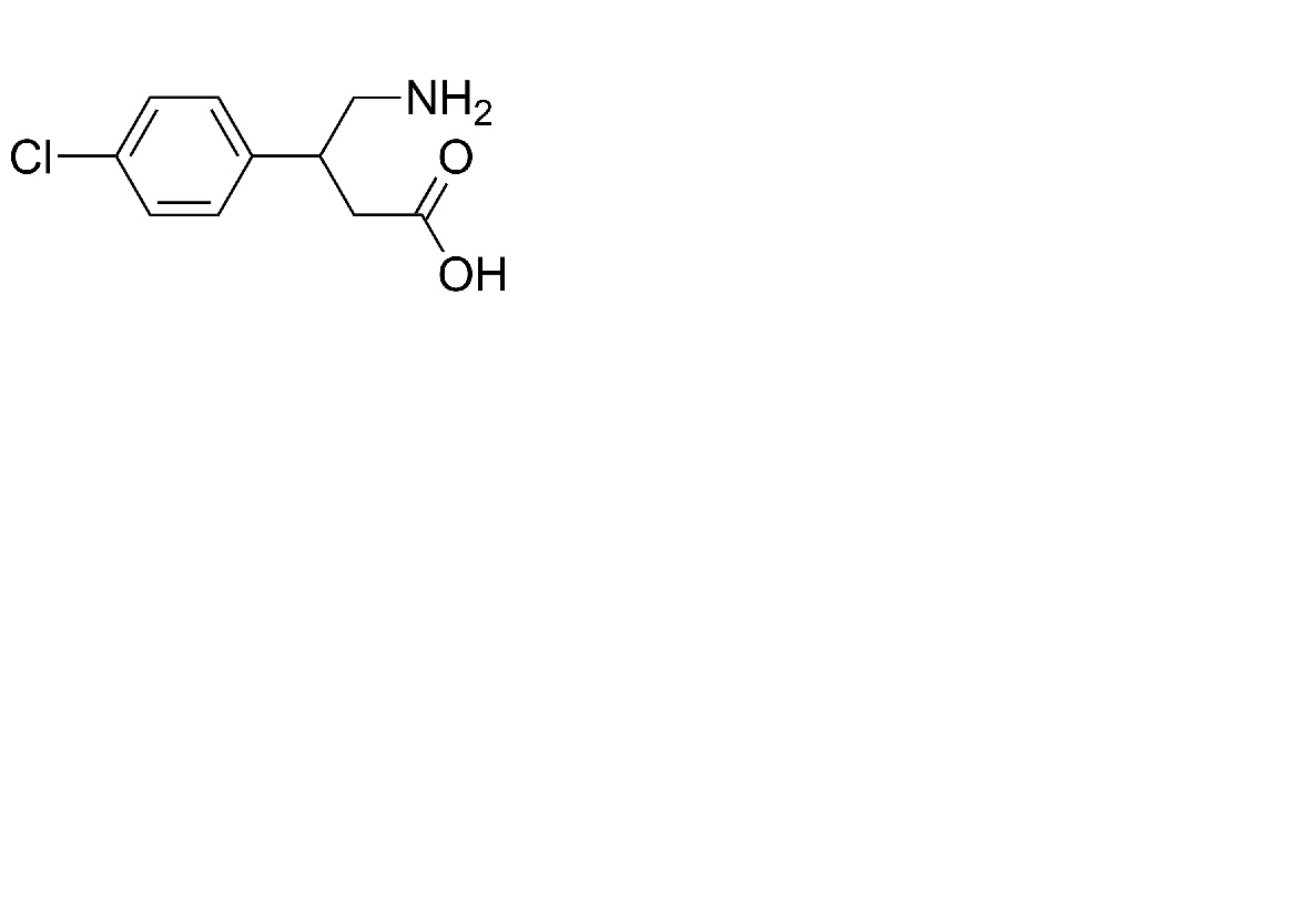
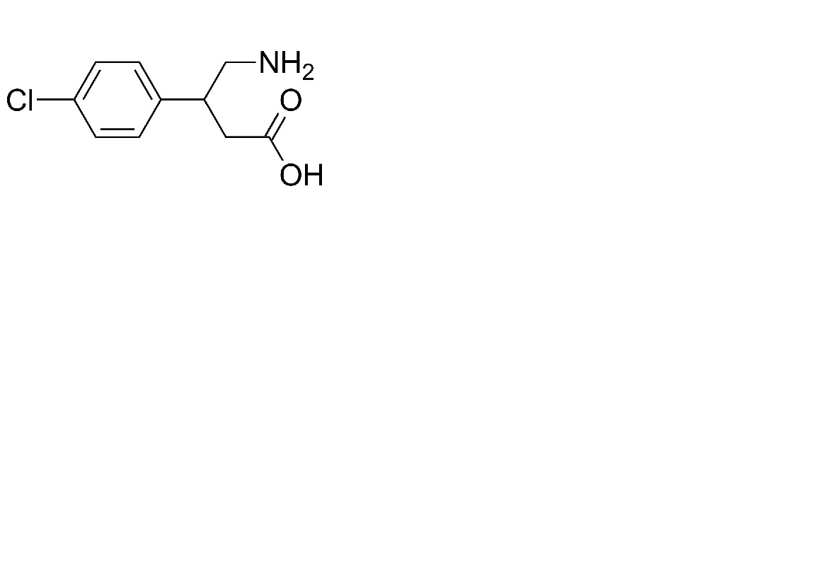
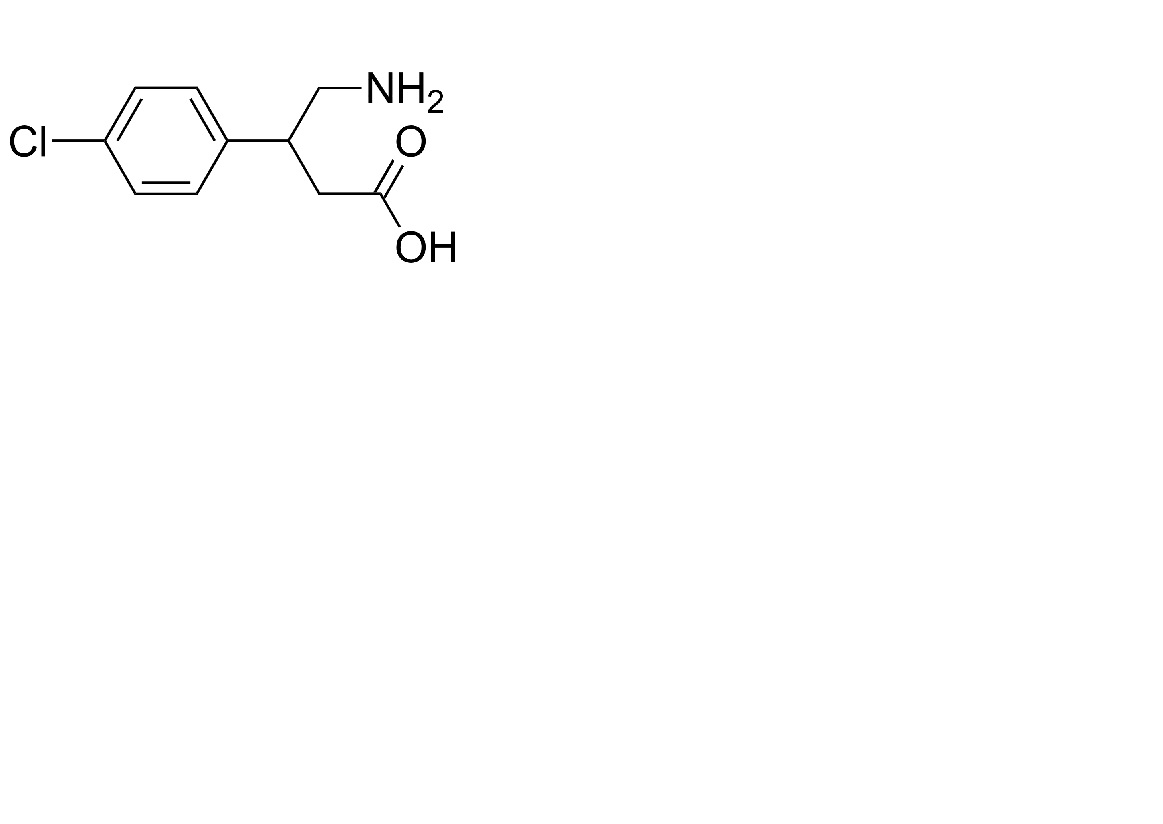
   Struktura chemiczna  

Roztwór doustny
Zgodność   Roztwór doustny   Zgodność : Baclofen              
Brak danych

  Mentions Légales