Utolsó frissítés :
27/04/2026
Különféle   Baclofen  
belsőleges oldat
Injekció kenőcs
Stabilitása gyógyszerészeti készítmények A keverékek stabilitása Stabilitást befolyásoló tényezők Kompatibilitás Irodalom pdf
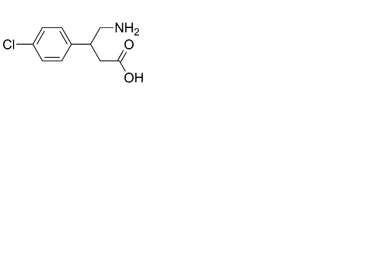
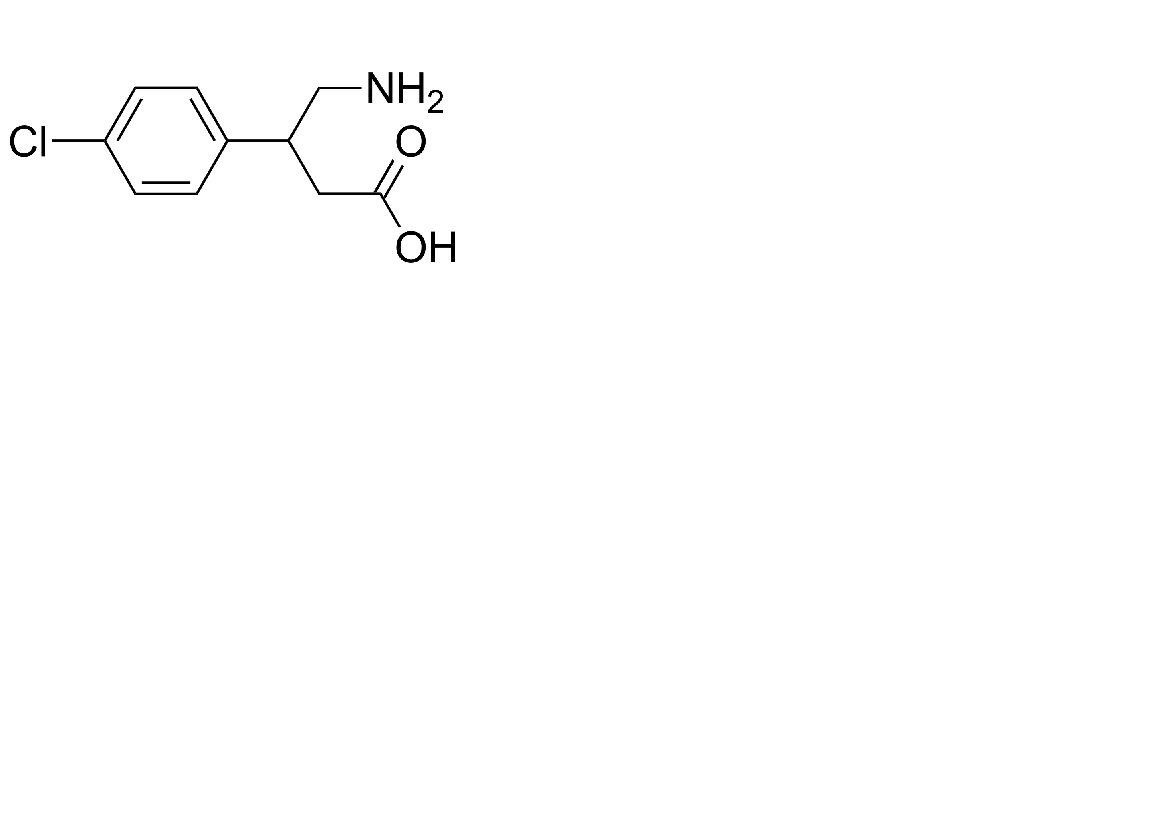
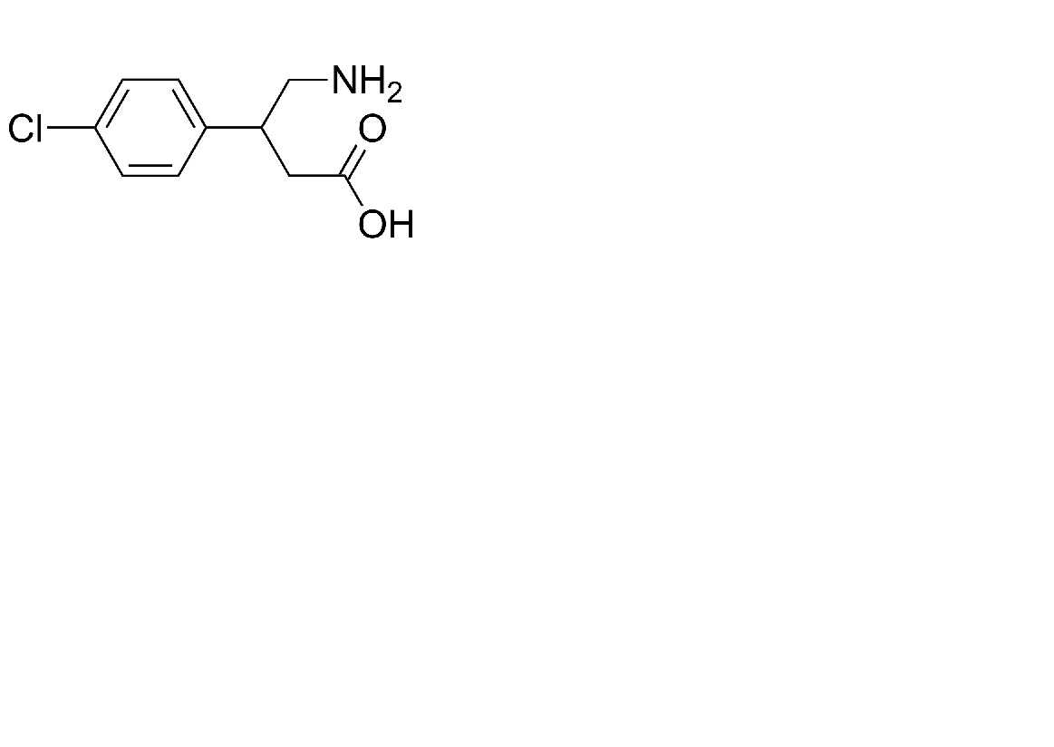
   Kémiai szerkezet   

belsőleges oldat
Kompatibilitás   belsőleges oldat   Kompatibilitás : Baclofen              
Hiányzó adat

  Mentions Légales