Poslední aktualizace :
27/04/2026
Įvairūs   Baclofen  
Geriamas tirpalas
Įpurškimas Tepalai
Stabilumas farmacinių preparatų Mišinių stabilumas Stabilumą lemiantys veiksniai Suderinamumas Bibliografija pdf
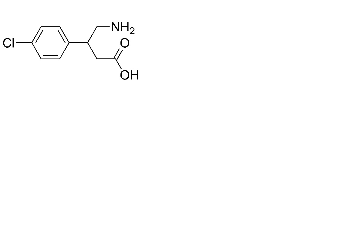
   Cheminė sandara  

Geriamas tirpalas
Stabilumas farmacinių preparatų   Geriamas tirpalas   Stabilumas farmacinių preparatų : Baclofen     
Pakuotė Origine Ekscipientas Temperatūra Laikymas Stabilumo trukmė Nuorodos
Stiklas Tabletės 300 mg
Lioresal®
Glicerinas
Cukraus sirupas >> 60 ml
4°C Apsaugotas nuo šviesos
35 Diena
2478

Stiklas Tabletės 300 mg
Lioresal®
Cukraus sirupas >> 60 ml
4°C Apsaugotas nuo šviesos
35 Diena
2478

Plastikinis butelis Milteliai 1,5 g
® = ?
SyrSpend SF PH4® >> 150 mL
2-8°C Apsaugotas nuo šviesos
90 Diena
3999

Plastikinis butelis Milteliai 300 mg
® = ?
SyrSpend SF PH4® >> 150 ml
2-8°C Nenurodyta
90 Diena
4177

Plastikinis butelis Milteliai 1,5 g
® = ?
SyrSpend SF PH4® >> 150 mL
20-25°C Apsaugotas nuo šviesos
90 Diena
3999

Plastikinis butelis Tabletės 1200 mg
?
OraPlus® / OraSweet® (1:1) >> 120 ml
25°C Apsaugotas nuo šviesos
60 Diena
2433

Plastikinis butelis Tabletės 1200 mg
?
OraPlus® / OraSweet SF® (1:1) >> 120 ml
25°C Apsaugotas nuo šviesos
60 Diena
2433

Plastikinis butelis Tabletės 1200 mg
?
Vyšnių sirupas >> 120 ml
25°C Apsaugotas nuo šviesos
60 Diena
2433

Plastikinis butelis Tabletės 1200 mg
?
OraPlus® / OraSweet® (1:1) >> 120 ml
4°C Apsaugotas nuo šviesos
60 Diena
2433

Plastikinis butelis Tabletės 1200 mg
?
OraPlus® / OraSweet SF® (1:1) >> 120 ml
4°C Apsaugotas nuo šviesos
60 Diena
2433

Plastikinis butelis Tabletės 1200 mg
?
Vyšnių sirupas >> 120 ml
4°C Apsaugotas nuo šviesos
60 Diena
2433


  Mentions Légales