Poslední aktualizace :
27/04/2026
Různé   Baclofen  
Perorální roztok
injekce Masti
Stabilita farmaceutických přípravků Stabilita směsí Faktory ovlivňující stabilitu Kompatibilita Odkazy pdf
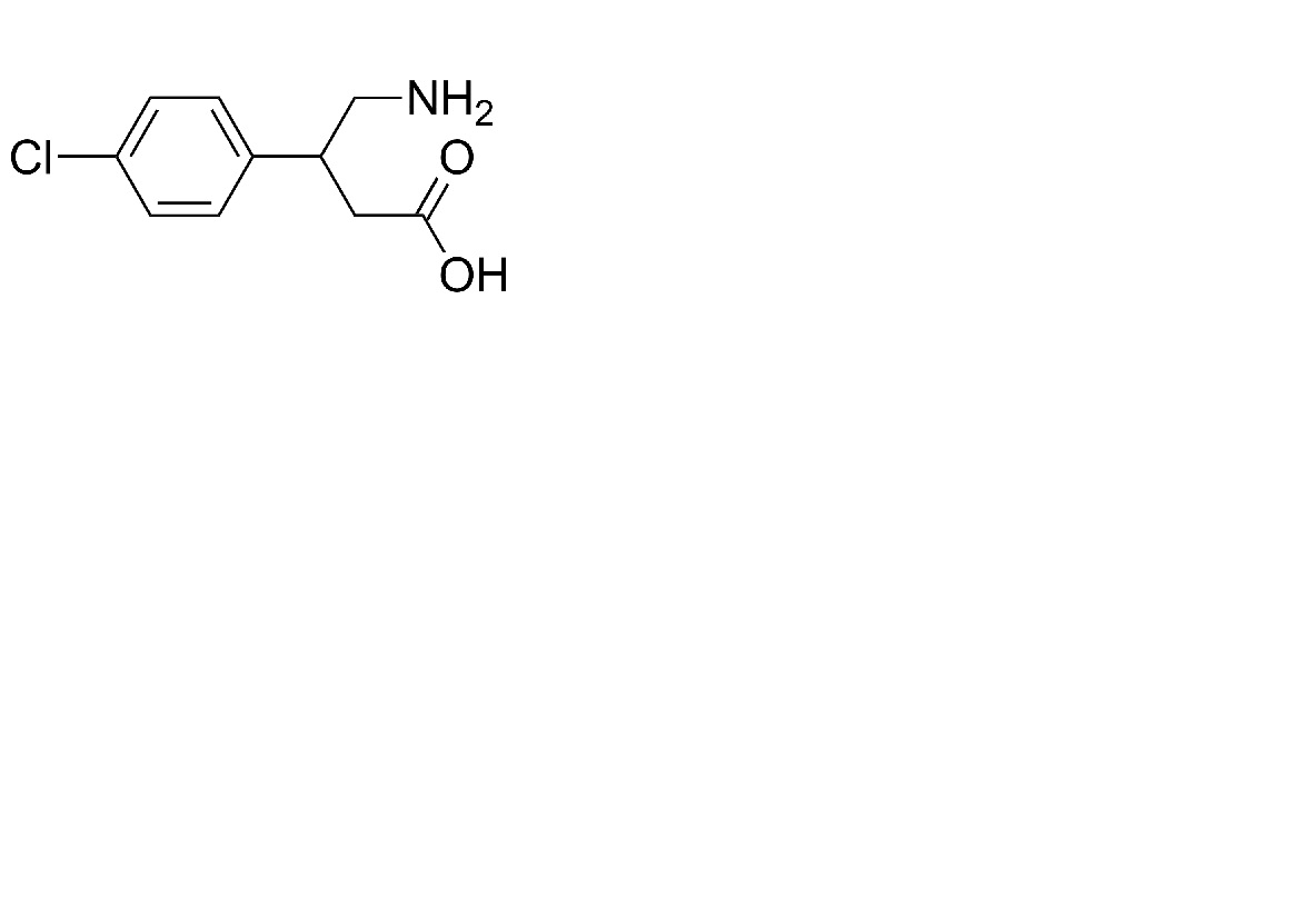
   Chemický vzorec  

Perorální roztok
Kompatibilita   Perorální roztok   Kompatibilita : Baclofen              
žádná data

  Mentions Légales