Ultimo aggiornamento :
27/04/2026
Altro   Baclofen  
Soluzione orale
Iniezione Unguenti
Stabilità dei preparati farmaceutici Stabilità in miscela Fattori che influenzano la stabilità Compatibilità Bibliografia pdf
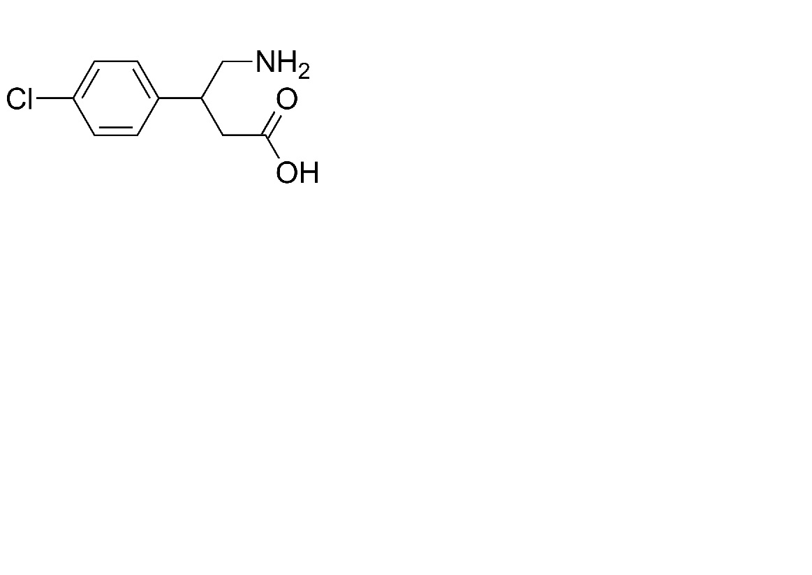
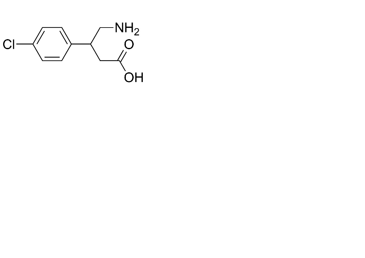
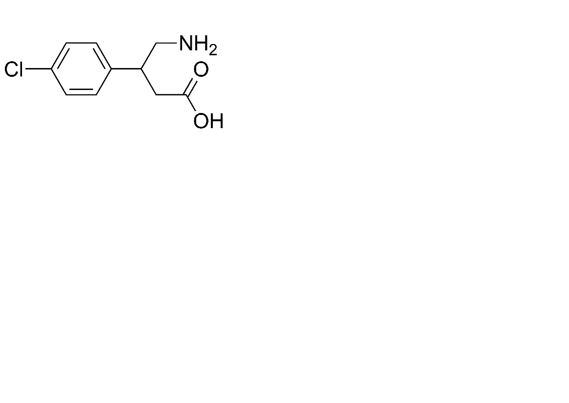
   Struttura chimica  

Soluzione orale
Compatibilità   Soluzione orale   Compatibilità : Baclofen              
Assenza di dati

  Mentions Légales