Poslední aktualizace :
27/04/2026
Įvairūs   Baclofen  
Geriamas tirpalas
Įpurškimas Tepalai
Stabilumas farmacinių preparatų Mišinių stabilumas Stabilumą lemiantys veiksniai Suderinamumas Bibliografija pdf
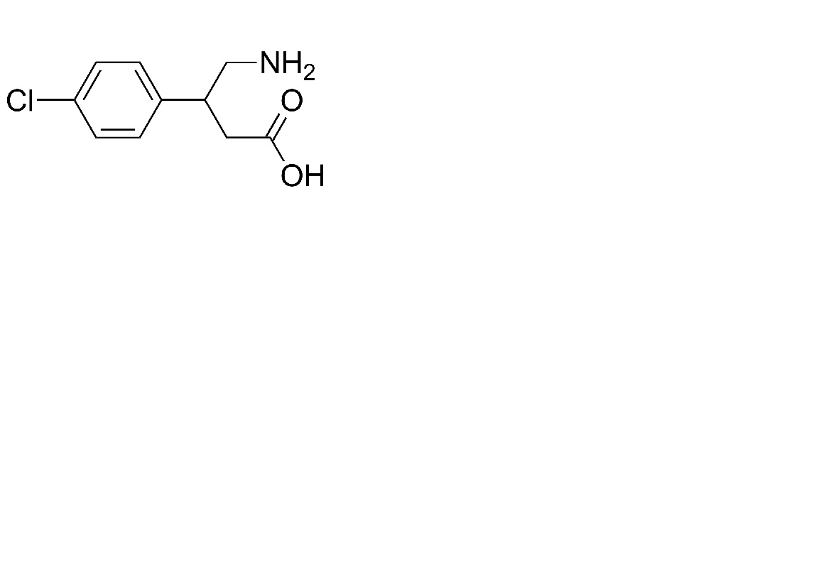
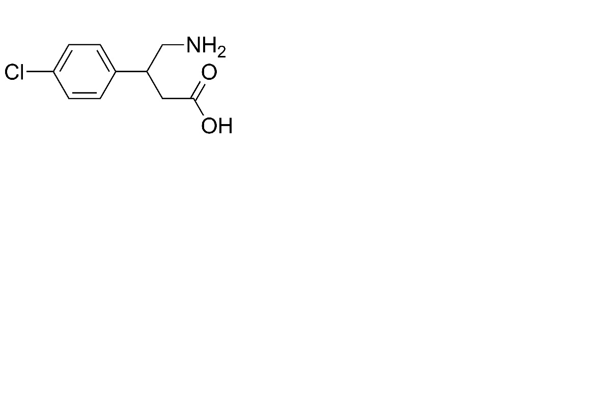
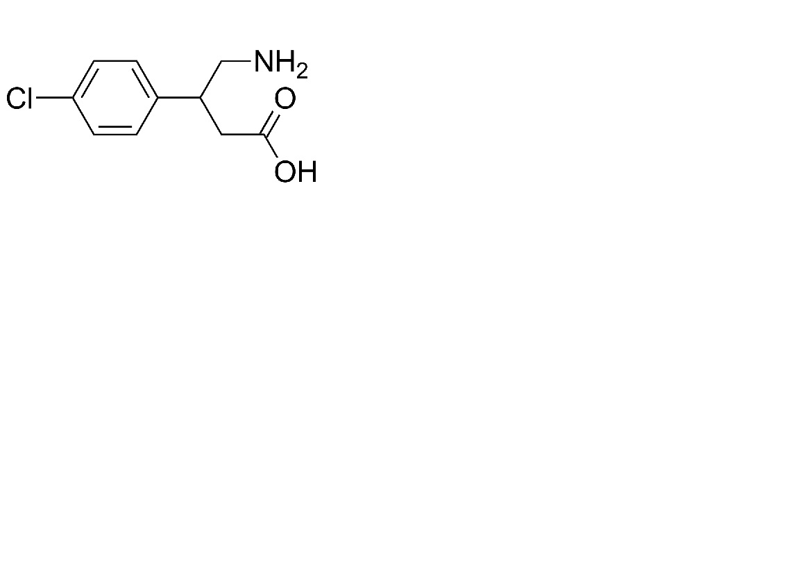
   Cheminė sandara  

Geriamas tirpalas
Suderinamumas   Geriamas tirpalas   Suderinamumas : Baclofen              
Nėra duomenų

  Mentions Légales