Seneste opdatering :
27/04/2026
Diverse   Baclofen  
Oral opløsning
Injektion Salver
Stabilitet af farmaceutiske tilberedninger Stabilitet i blandinger Faktorer der påvirker stabiliteten Kompatibilitet Bibliografi pdf
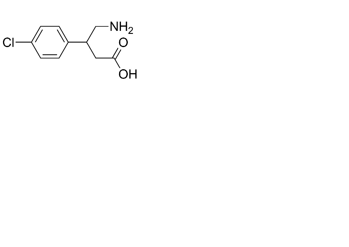
   Kemisk struktur  

Oral opløsning
Kompatibilitet   Oral opløsning   Kompatibilitet : Baclofen              
Ingen data

  Mentions Légales